Figure 2
From: Survival analysis of infected mice reveals pathogenic variations in the genome of avian H1N1 viruses

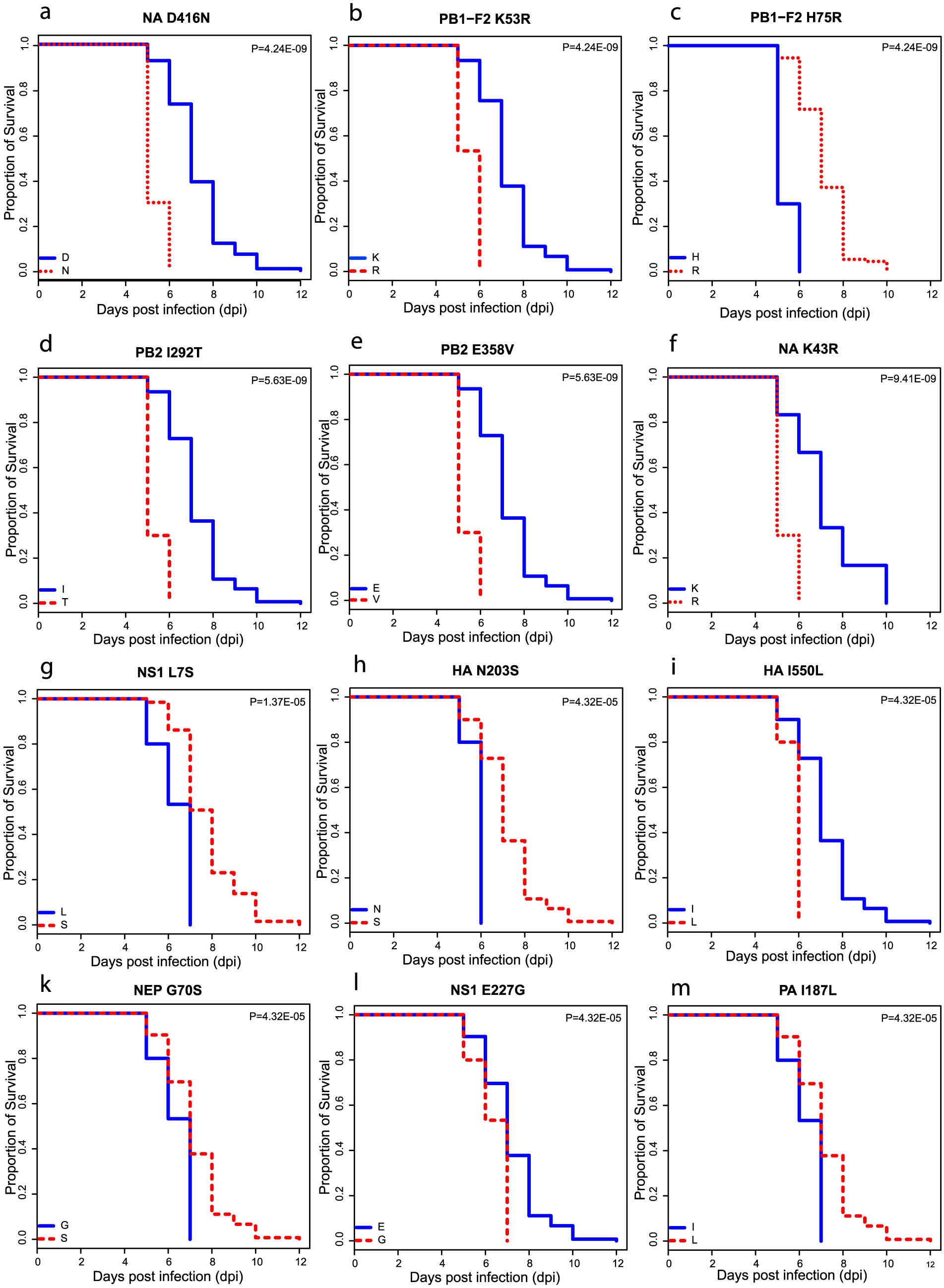
Polymorphic sites associated with pathogenicity in mice by residue effect.
Amino acid substitutions at certain positions affect the pathogenicity of H1N1 IAVs in DBA/2J mice. Sites showing significant residue effect were identified by Cox proportional hazard model after adjusting the host effect. Adjusted p-value (FDR) ≤ 0.01 for residue effect was deemed significant. The variants (a) N416D in NA, (b) K53R and (c) R75H in PB1-F2, (d) I292T and (e) E358V in PB2, (f) K43R in NA, (g) S7L in NS1, (h) S203N and (i) I550L in HA, (k) S70G in NEP, (l) E227G in NS1 and (m) L187I in PA are associated with increased pathogenicity in avian H1N1 IAVs. These positions were based on the sequences used in this study.