Figure 3
From: Survival analysis of infected mice reveals pathogenic variations in the genome of avian H1N1 viruses

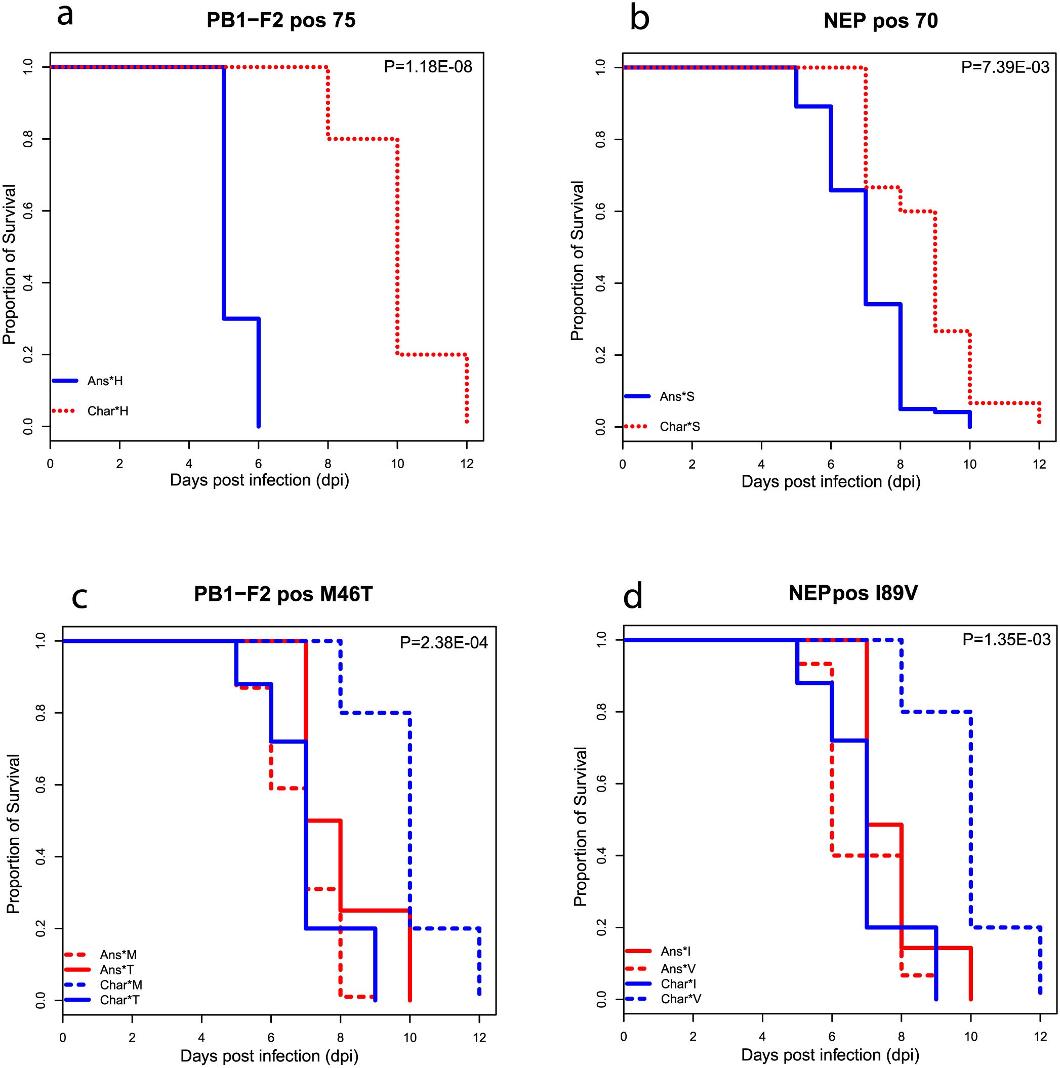
Polymorphic sites associated with pathogenicity in mice by host origin and host-residue interaction.
Amino acid substitutions at certain positions (pos) affect the pathogenicity of H1N1 IAVs of Anseriformes (Ans) or Charadriiformes (Char) origin in DBA/2J mice. Sites showing significant host effect and host-residue interactions were identified by Cox proportional hazard model with host, residue and host-residue interaction term in the model. Adjusted p-value (FDR) ≤ 0.01 was deemed significant. Two of the polymorphic sites with host effect: (a–b) H75 in PB1-F2 and S70 in NEP are individually associated with increased pathogenicity in Ans IAVs. Two of the polymorphic sites with host-residue interactions: (c–d) T46M in PB1-F2 and I89V in NEP are individually associated with increased pathogenicity in Ans IAVs and M46T in PB1-F2 and V89I in NEP have the same effect in Char IAVs. These positions were based on the sequences used in this study.