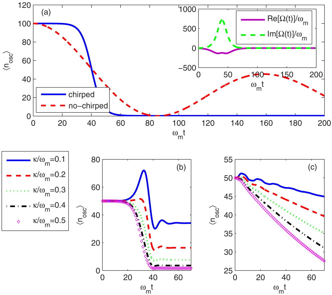
Figure 1
From: Fast cooling in dispersively and dissipatively coupled optomechanics

The time evolution of the phonon number 〈nosc〉 = 〈δb†δb〉.
(a) Blue solid one denotes the chirped pulse form, red dashed one is the no-chirped form. Other parameters: A = 0, B = 2 * 10−4, κ/ωm = 0.01, γ/ωm = 10−5, Nth = 100, 〈a(0)〉 = 200, Δ/ωm = −1. For the chirped pulse form, α/ωm = 0.14, β/ωm = 0.04,
, ωmt0 = 40. (b) (chirped pulse form) and (c) (no-chirped pulse form), A = 0, B = 2 * 10−4, γ/ωm = 10−6, Nth = 50, 〈a(0)〉 = 103, Δ/ωm = 0.5; for the chirped pulse form (b), α/ωm = 0.15, β/ωm = 0.05,
, ωmt0 = 30.