Figure 2
From: Fast cooling in dispersively and dissipatively coupled optomechanics

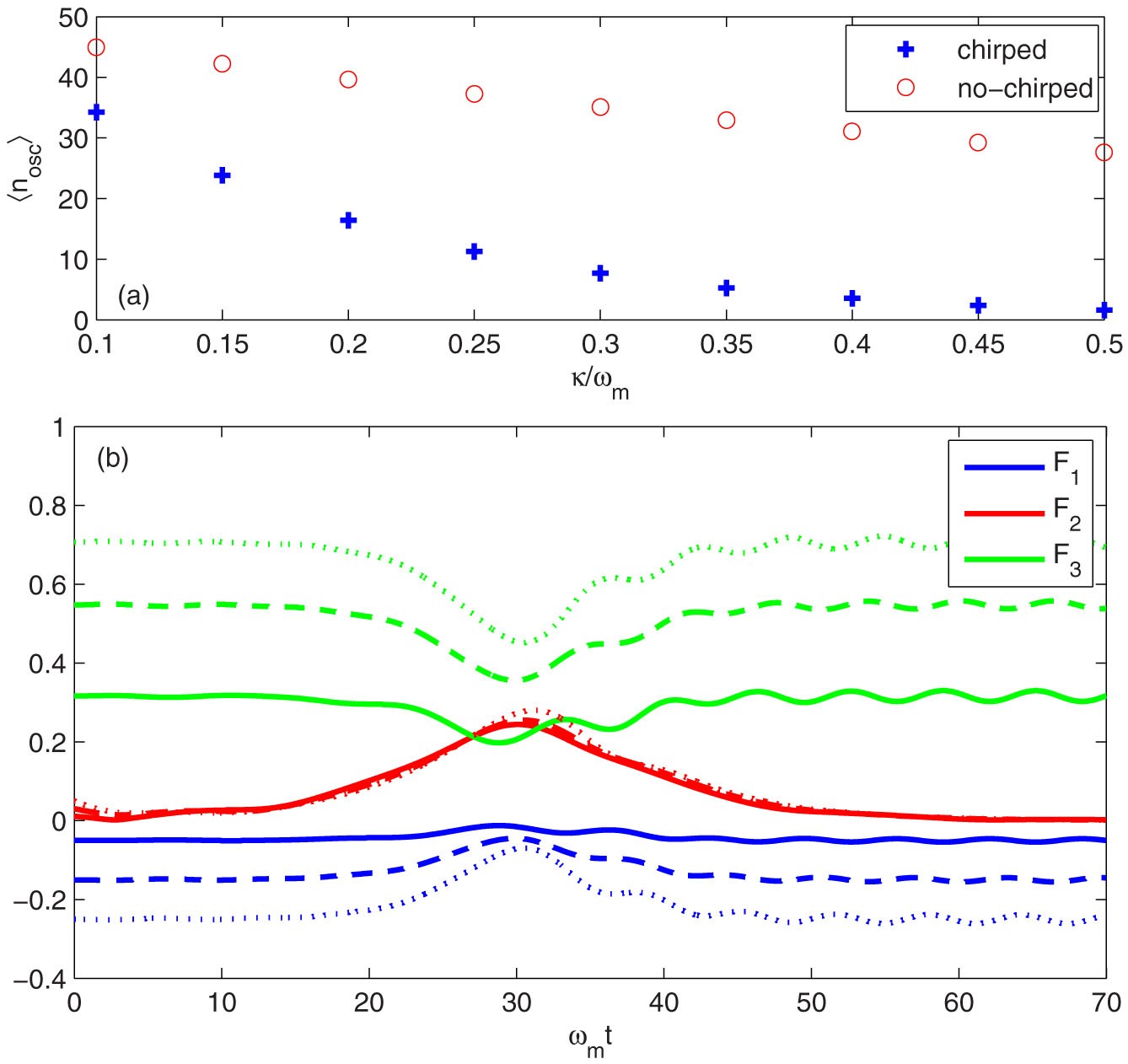
(a), the residual phonon number 〈nosc〉 = 〈δb†δb〉 at time ωmt = 70, with the increase of cavity damping strength. Parameters set, Δ/ωm = 0.5, A = 0, B = 2 * 10−4, γ/ωm = 10−6, Nth = 50, 〈a(0)〉 = 103. For the chirped pulse form (blue cross term), α/ωm = 0.15, β/ωm = 0.05,
, ωmt0 = 30. (b), the amplitude of F1, F2 and F3 with time evolution. Solid, κ/ωm = 0.1; dashed, κ/ωm = 0.3; dotted, κ/ωm = 0.5. Other parameters are same as in (a).