Figure 3
From: Fast cooling in dispersively and dissipatively coupled optomechanics

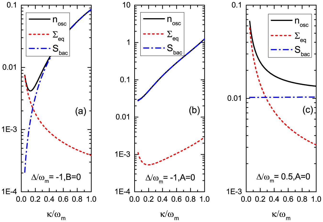
The steady-state phonon number 〈nosc〉 = 〈δb†δb〉, the intrinsic oscillator damping Σeq, the backaction from the cavity Sbac, with the cavity damping strength κ.
(a), pure dispersive coupling case, A = 2 * 10−4, B = 0, Δ/ωm = −1; (b), pure dissipative coupling case, A = 0, B = 2 * 10−4, Δ/ωm = −1; (c), pure dissipative coupling case, A = 0, B = 2 * 10−4, Δ/ωm = 0.5. For all of three plots, γ/ωm = 10−6, Nth = 50, intra-cavity amplitude at the steady state, 〈a〉 = 103.