Figure 3
From: The Strain Rate Effect on the Buckling of Single-Layer MoS2

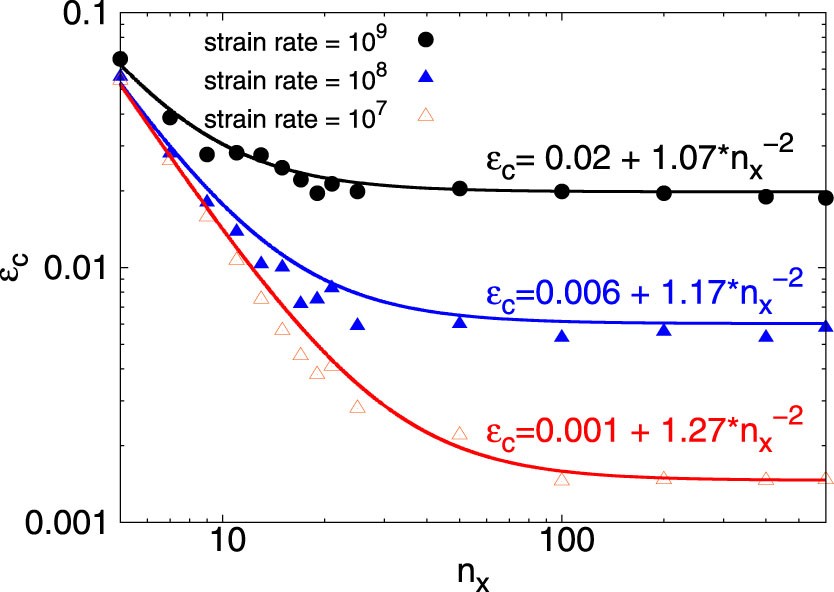
Length dependence (log-log) of the buckling critical strain for the SLMoS2 at strain rates of 109 s−1, 108 s−1 and 107 s−1, respectively.
Simulated data are fitted to the function
, which becomes a length-independent constant a in the limit of nx → + ∞.