Figure 3
From: Spin and field squeezing in a spin-orbit coupled Bose-Einstein condensate

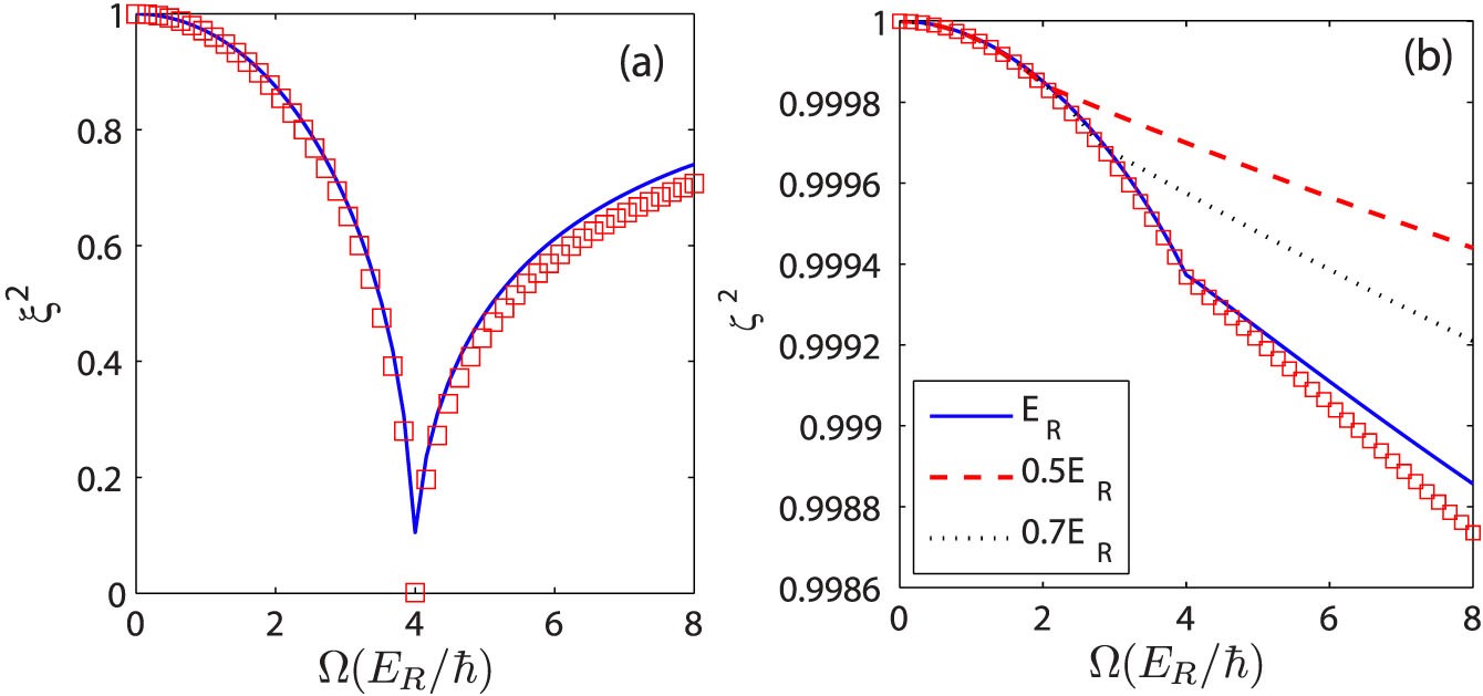
Quantum phase transition in terms of spin and field squeezing parameters.
(a) Spin squeezing parameter ξ2 and (b) bosonic squeezing factor ζ2 as functions of Ω. The red square denotes the analytical result in Eqs. (10) and (13), whereas the blue lines reflects the direct numerical results of Hamiltonian (4). The parameters are the same as those in Fig. 2.