Figure 4
From: Spin and field squeezing in a spin-orbit coupled Bose-Einstein condensate

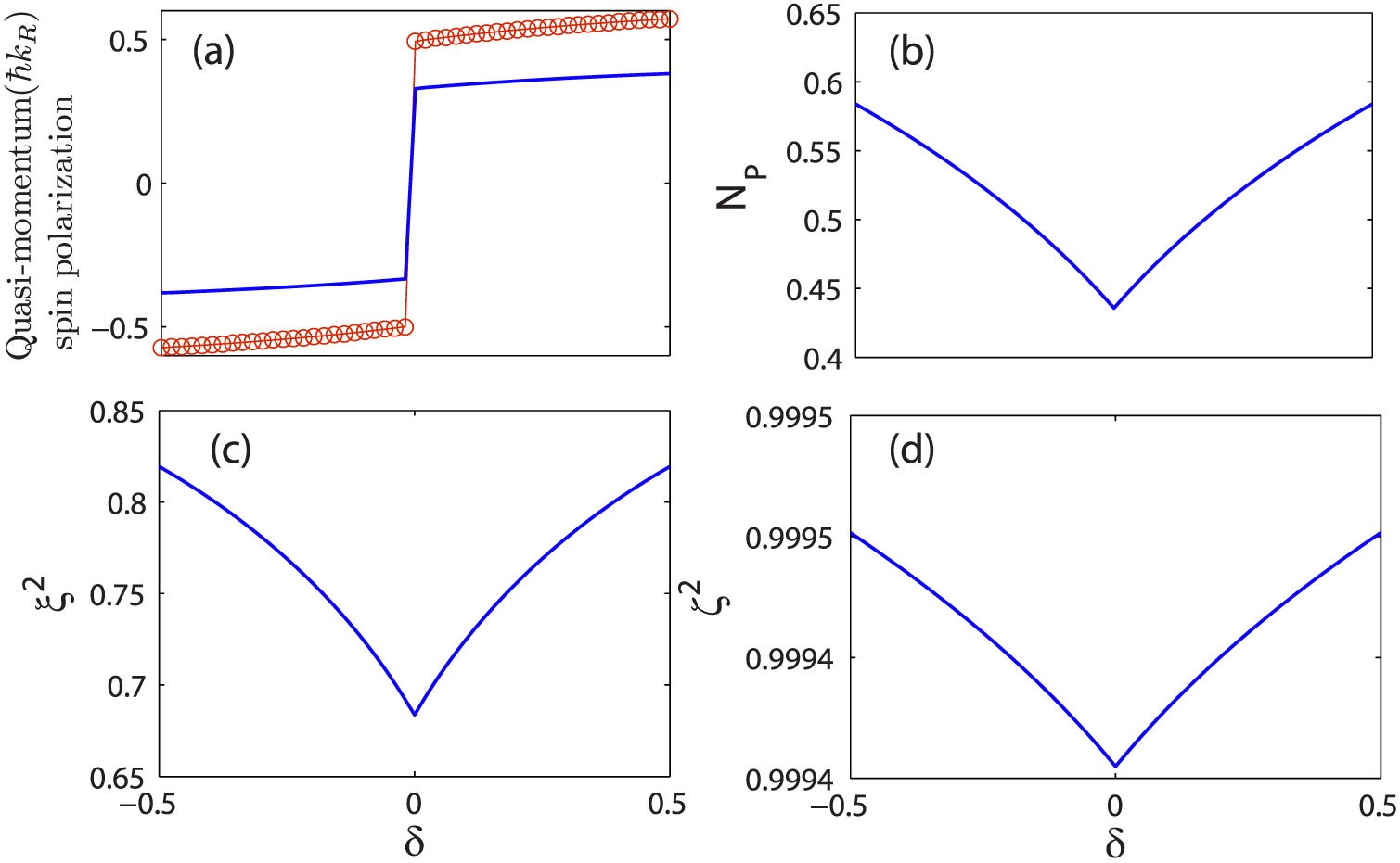
Effect of the detuning.
(a) Spin polarization (blue line) and quasi-momentum (red line with circles) (b) occupation number of harmonic trap mode Np, (c) spin and (d) field squeezing parameter as a function of Raman detuning δ with Ω = 3ER. The parameters are chosen as m = 1.44 × 10−25 kg, λ = 804.1 nm, ωx = 2π × 100 Hz and N = 2 × 103.