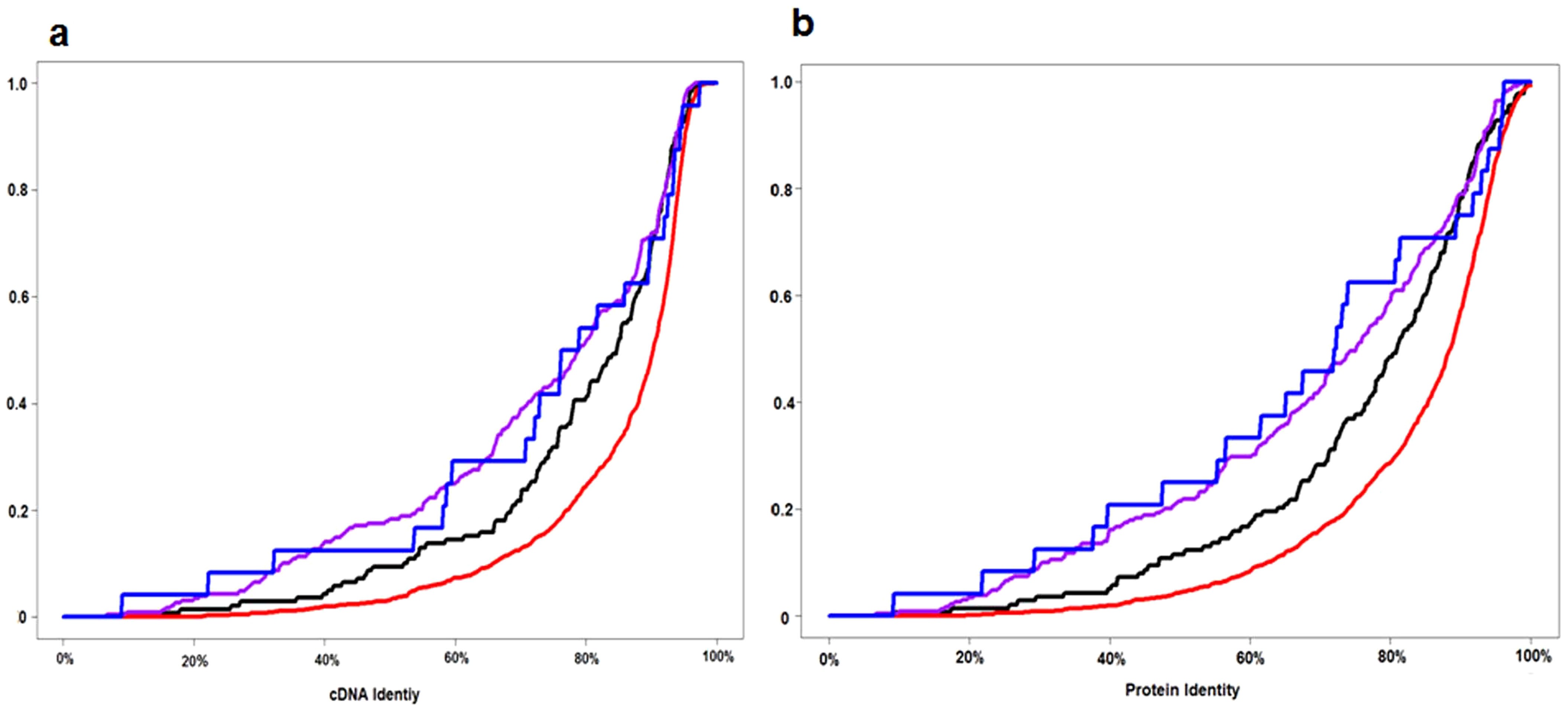
Figure 5

Cumulative distribution curves of cDNA and protein identity in the SF group, Sub-F pair, Non-F pair and Neo-F pair.
Purple: neo-functionalization pair. Blue: non-functionalization pair. Black: sub-functionalization pair. Red: same-function group. (a) cDNA identity among four classes of RDGs. Significant difference among four classes in cDNA identity was proved with the Kruskal–Wallis H test (P value = 6.52 × 10−22). Non-F and neo-F pairs did not differ significantly in cDNA identity (Mann–Whitney U test, P value = 0.737), but both had significantly higher substitutions than the sub-F pair (P value = 0.03). The cDNA identity was significantly higher in the SF group than in the sub-F pair (P value = 1.14 × 10−7). (b) Protein identities in four classes of RDGs. The Kruskal–Wallis H test (P value = 4.27 × 10−25) revealed significant differences among the four classes. Further pair-wise Mann–Whitney U tests indicate that the non-F and neo-F pairs were not significantly different in protein identity (P value = 0.823), but both had significantly higher protein changes than that of the sub-F pair (P value = 0.01). The protein identity was significantly lower in the sub-F pairs than in the SF group (P value = 5.46 × 10−8).