Figure 3

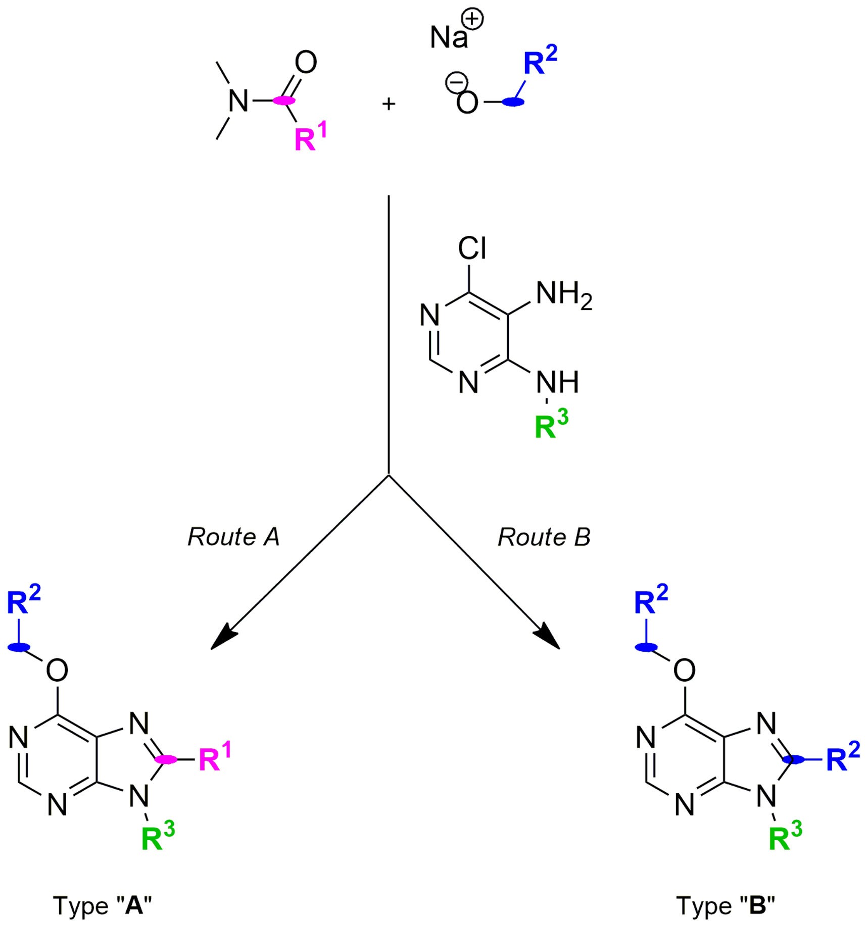
One-pot synthesis of poly-substituted purines using sodium hydride and different N,N-dimethylamides, primary alcohols and 4-alkylamino-5-amino-6-chloropyrimidines.

One-pot synthesis of poly-substituted purines using sodium hydride and different N,N-dimethylamides, primary alcohols and 4-alkylamino-5-amino-6-chloropyrimidines.