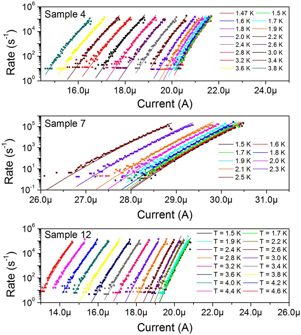
Figure 5

Rates of dark counts. The rates of dark counts (symbols) for Samples 4, 7 and 12 are plotted vs current and fitted (solid lines) using the KG model for thermal activation. Fit parameters are shown in Table 1 and Fig. 6. The lowest temperature curves correspond to the highest currents. At low temperatures, the average value of the switching current changes slowly and the rate curves become more difficult to distinguish in these plots.