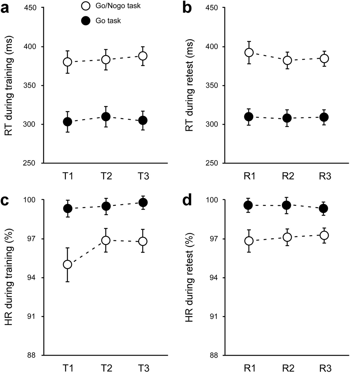
Figure 3

Immediate training profiles on response time (RT) and hit rate (HR) at training and retest sessions.
There were no significant differences among the three blocks of Go and Go/Nogo tasks during the training (a) or retest sessions (b) with regard to RTs or the training (c) and retest sessions (d) with regard to HRs. Open circles and error bars represent the means and SEMs on Go/Nogo performances, respectively and filled circles and error bars represent means and SEMs on Go performances, respectively.