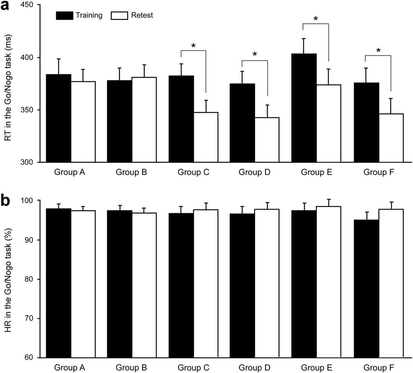
Figure 4

Delayed improvement for Go/Nogo performances.
(a) Significant delayed improvements in Go/Nogo response time (RT) were seen in groups C–F. (b) Delayed improvements in Go/Nogo hit rate (HR) were not observed in any group. Bars and error bars represent the means and SEMs, respectively. *p < 0.05.