Figure 5
From: Slow Spin Dynamics in Superconducting Ca0.9Ce0.1Fe2As2

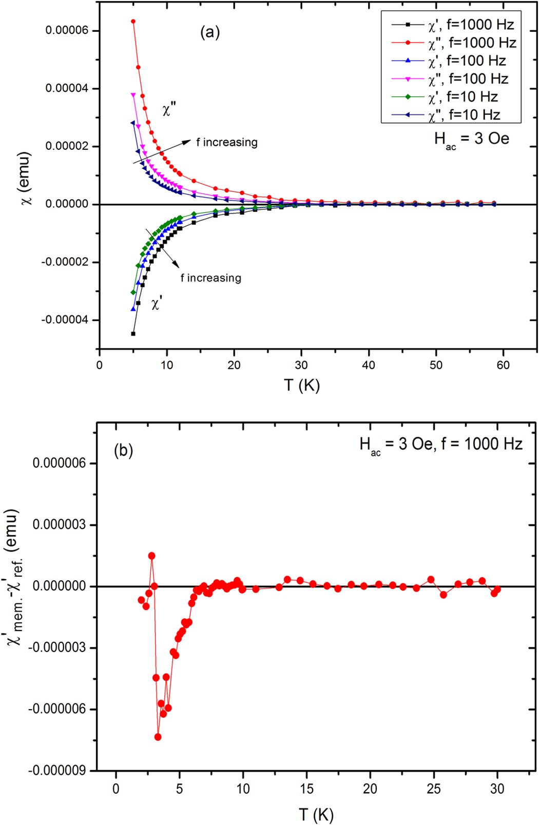
(a) Frequency dependence of in-phase and out-of-phase ac susceptibility of Ca0.9Ce0.1Fe2As2 single crystal, (b) memory dip due to difference of in-phase ac susceptibility scans. The sample is halted at 4 K for 2 h during the ZFC to get the memory curve, whereas the reference curve is determined without any halting temperature.