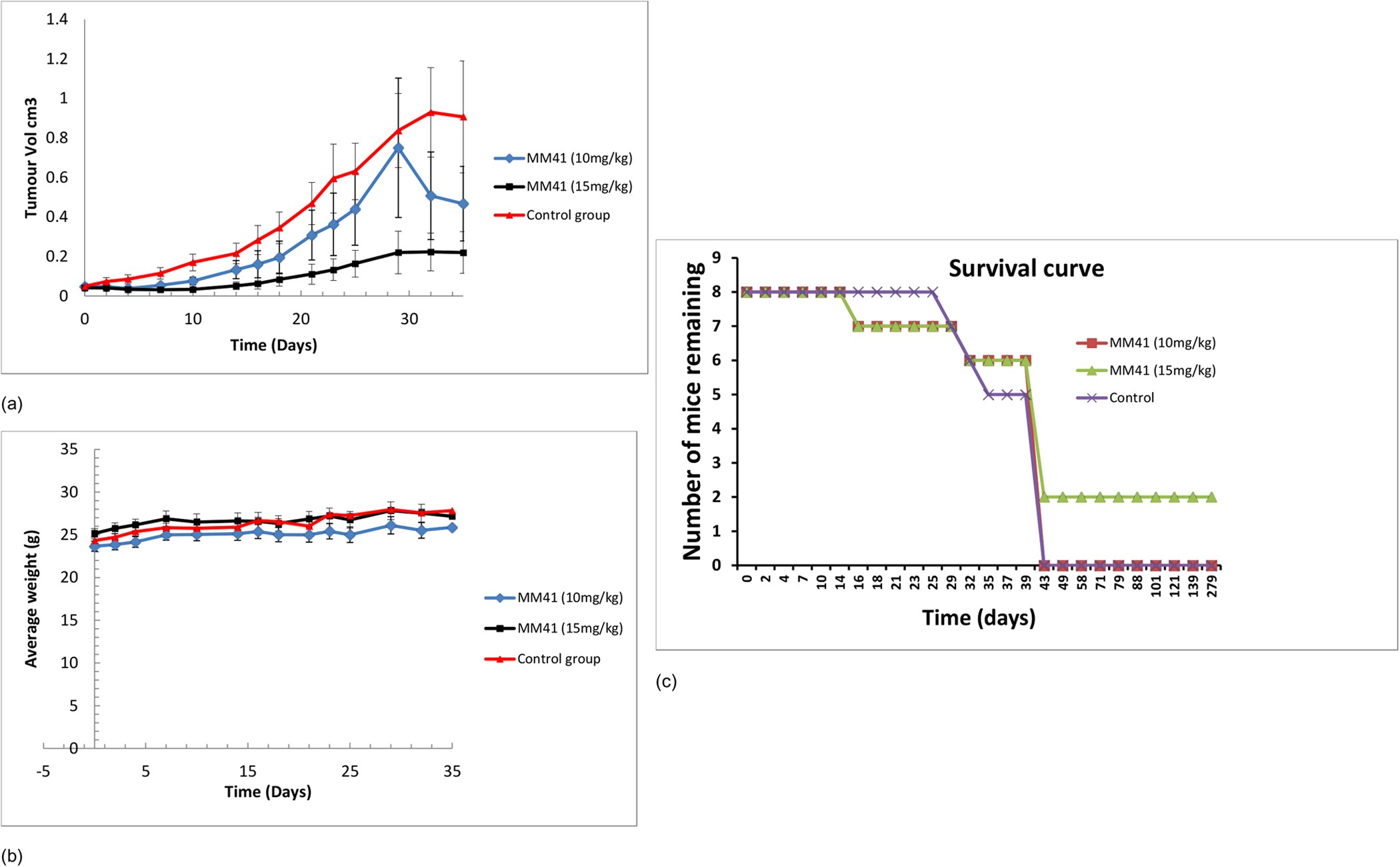
Figure 3

(a) Efficacy of MM41 in subcutaneous tumor xenografts, evaluated in terms of tumour growth over time ± SEM. Control mice are compared to groups dosed with 10 and 15 mg/kg respectively, administered twice daily. The change in tumour volume for the group dosed with 15 mg/kg of MM41 is statistically significant (Student’s t-test) relative to the control group with P = 0.026 (n = 6). (b) Average mouse weight over time for the three experimental groups of mice. (c) Kaplan-Meier survival plot for the three groups of mice. Note that cessation of particular experiments at day 40 (see text) accounts for the zero survival of 2/3 groups at this time-point.