Figure 2
From: Unveiling hidden ferrimagnetism and giant magnetoelectricity in polar magnet Fe2Mo3O8

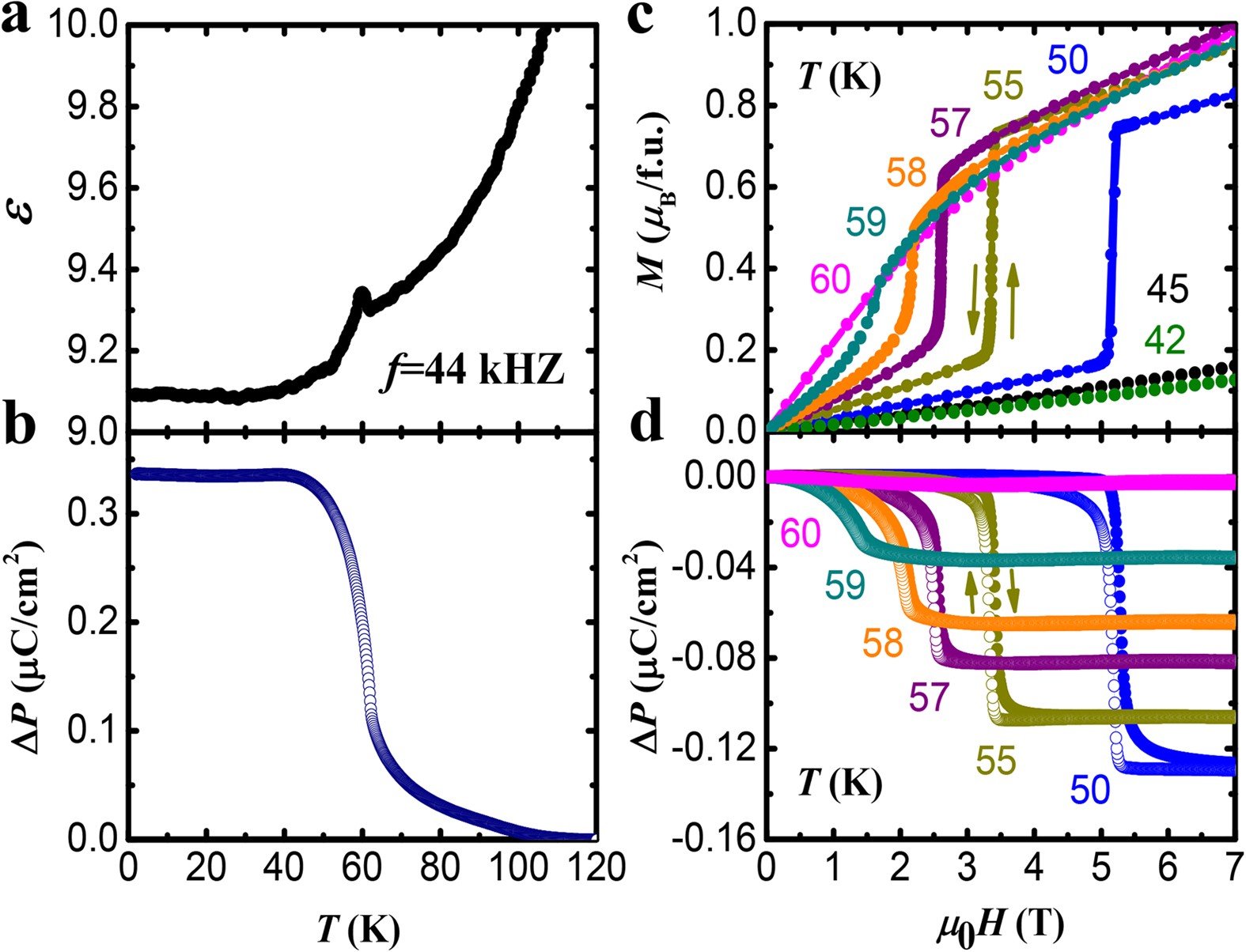
Magnetically-induced electric polarization and the metemagnetic transition.
(a) Temperature dependence of the c-axis dielectric constant ϵ(T), f = 44 kHZ. (b) Variation of the c-axis electric polarization ΔP with temperature. (c,d) Magnetic field dependence of magnetization M(H) and polarization ΔP(H) at various temperatures. In (d), solid (open) circles depict the data obtained upon sweeping the magnetic field up (down).