Figure 2
From: Chaos in high-dimensional dissipative dynamical systems

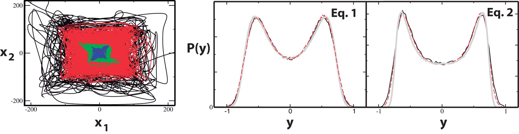
Scaling of the size of chaotic trajectories.
Left panel: Examples of x1, x2 projections of trajectories for the dynamics described by (3) for d = 10 (blue), d = 15 (green), d = 30 (red) and d = 45(black), illustrating the scaling xi ~ d3/2. Central panel: The probability density for the scaled coordinate P(y) vs. y = x/dα, α = 1 of the solution of Eq. (1) for d = 150 (solid black line), d = 100 (dashed red line) and the histogram of the solution of (10) (thick grey line). Right panel: The probability density for the scaled coordinate P(y) vs. y = x/dα, α = 3/4 of the solution of Eq. (2) for d = 65 (solid black line), d = 50 (dashed red line) and the histogram of the solution of (10) (thick grey line).