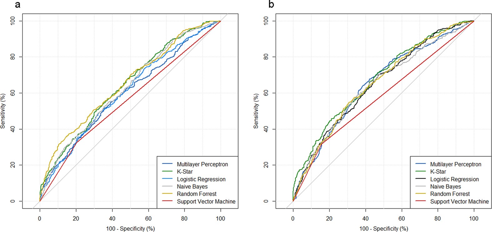
Figure 2

Receiver operating characteristic curve of various models including both genders.
(a) CFS-selected parameter set, (b) wrapper approach-selected parameter set.

Receiver operating characteristic curve of various models including both genders.
(a) CFS-selected parameter set, (b) wrapper approach-selected parameter set.