Figure 2
From: Direct Measurement of Optical Force Induced by Near-Field Plasmonic Cavity Using Dynamic Mode AFM

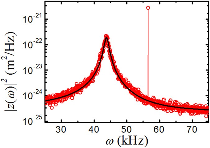
Measured power spectrum |z(ω)|2 as a function of angular frequency ω.
The measurement is made with a plasmonic resonant cavity with a periodic array of gold disks of diameter d = 300 nm. The cavity separation is r = 1 μm and the intensity modulation frequency is ω′ = 56.51 kHz (f ′ = 9 kHz). The solid line is a fit to Eq. (2) with m = 3.46 × 10−8 g, ω0 = 43.79 kHz and ξ = 4.64 × 10−8 Ns/m.