Figure 4
From: Direct Measurement of Optical Force Induced by Near-Field Plasmonic Cavity Using Dynamic Mode AFM

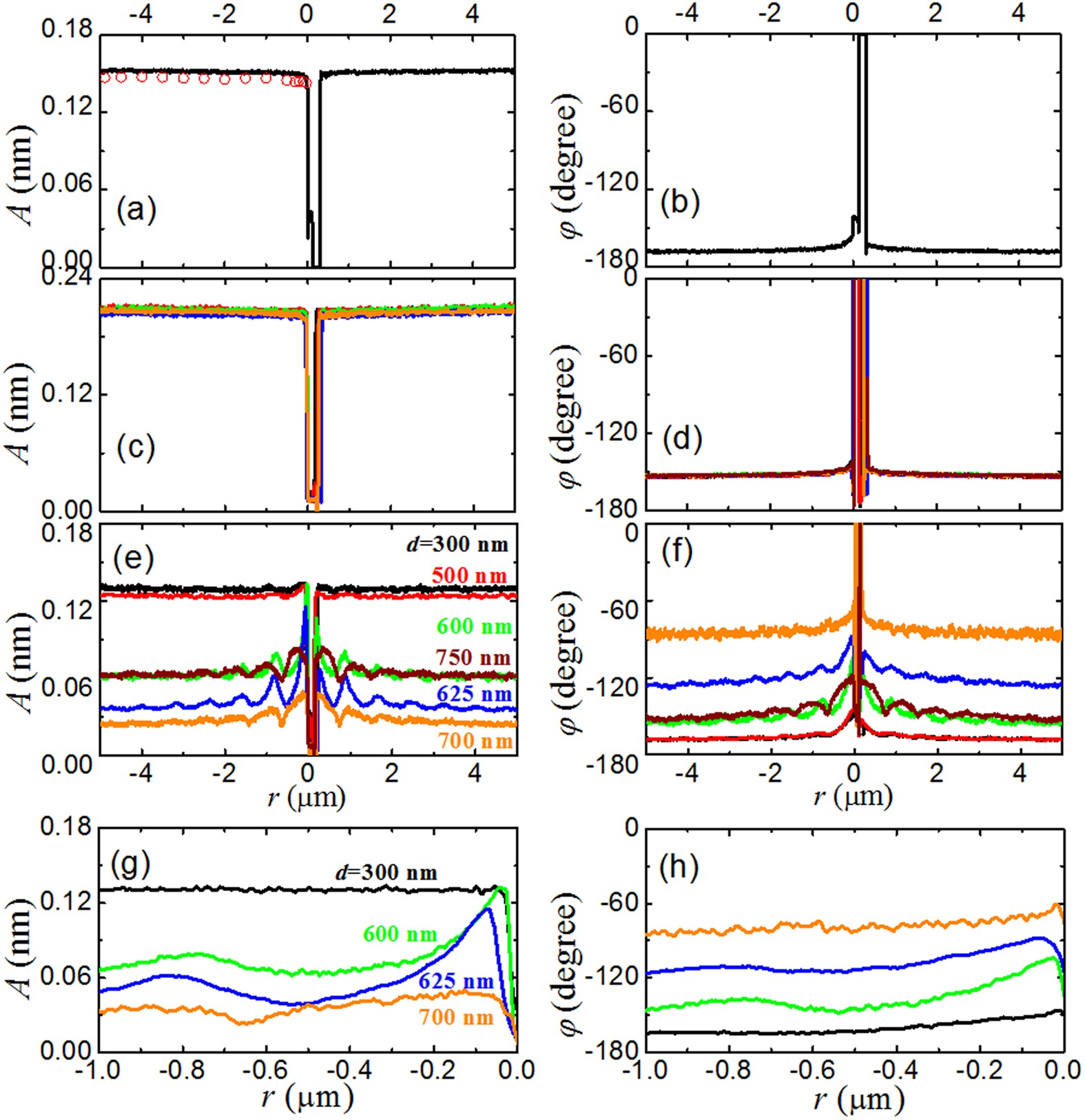
Measured displacement amplitude A and phase delay φ as a function of the cavity separation r.
The laser modulation frequency is set at ω′= 56.51 kHz, which is close to the resonant frequency ω0 (= 43.79 kHz) of the cantilever system, so that a measurable ac signal is obtained with a low laser intensity (~1 mW). The values of A are obtained in two ways. The red circles are obtained by integrating the measured power spectrum |z(ω)|2 and the solid lines are obtained using DM-AFM with a lock-in amplifier. The measurements are conducted when the glass sphere is either approaching (with r < 0) or receding (with r > 0) from the lower surface of the cavity at a constant speed of V = 100 nm/s. (a) and (b) An infrared laser beam of wavelength λ = 1550 nm is used in a cavity formed between the gold-coated glass sphere and a plain quartz plate that does not generate any resonance effect. (c) and (d) An alignment red laser beam of wavelength λ= 635 nm is used in the plasmonic resonant cavity (for λ = 1550 nm) with the gold disk diameter d varying from 300 nm to 750 nm. (e) and (f) An infrared laser beam of wavelength λ = 1550 nm is used in the plasmonic resonant cavity with d varying from 300 nm to 750 nm. (g) and (h) Magnified plots of the amplitude A and phase delay φ shown in (e) and (f) in the near-filed region with d varying from 300 nm to 750 nm.