Figure 2

Scatter diagram.
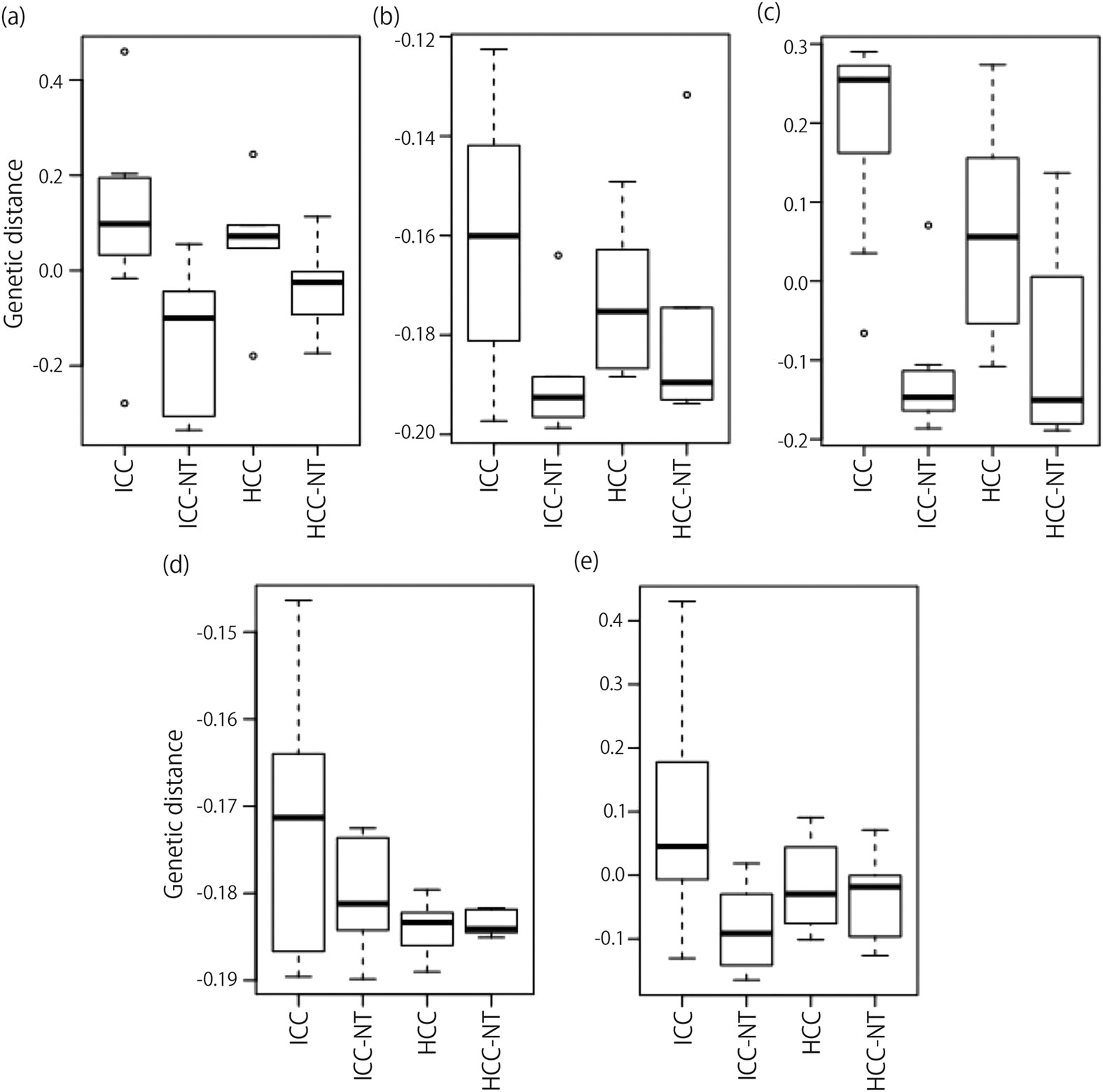
Lower triangle: Scatter plot between five PCs (a) PC3_comp, (b) PC1_mRNA, (c) PC2_mRNA, (d) PC1_miRNA and (e) PC2_miRNA, selected based on the hierarchical clustering shown in Fig. 1. Each row and column corresponds to the PC displayed diagonally. Open rectangle in the second row and third column indicates the correlation coefficients (upper numerical value) and their P-values (lower numerical value) associated with the corresponding scatter plots.