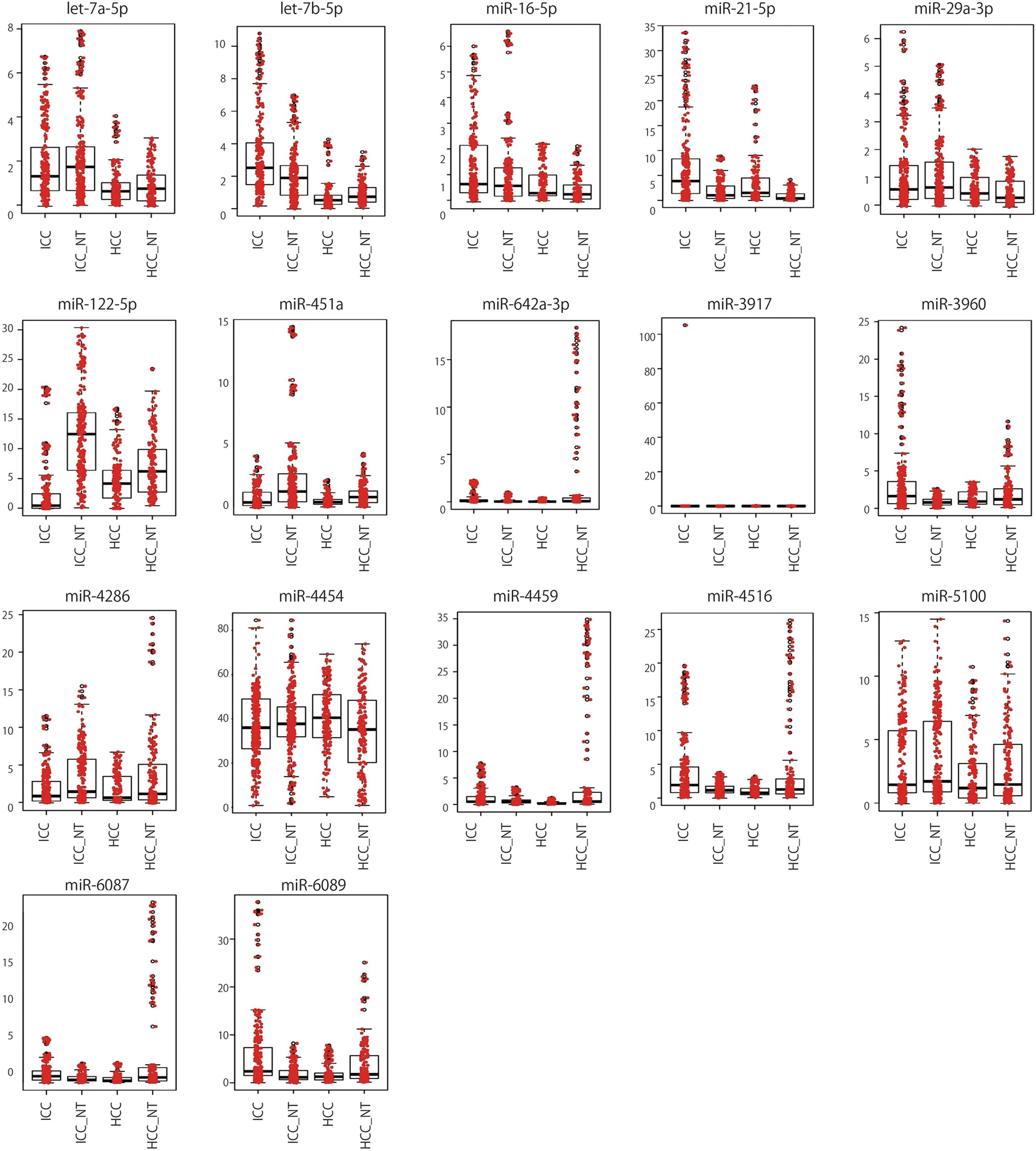
Figure 7

Box plot of selected miRNAs.
Expression pattern of 17 miRNAs used to discriminate between tumor (ICC and HCC) and non-tumor (ICC_NT and HCC_NT) or between ICC and non-ICC (ICC-NT, HCC and HCC-NT). Vertical left axis shows miRNA expression levels. P-values are indicated in Table S4.