Figure 4
From: Universal behavior of hydrogels confined to narrow capillaries

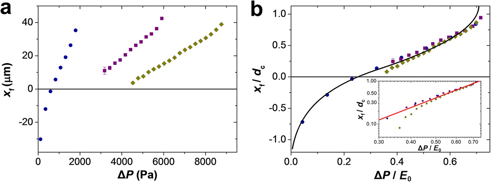
Dependence of the position of the microgel on the applied pressure difference.
(a) Effect of pressure difference on the position of the microgel front tip xf along the x-axis in the microchannel, plotted at the same degree of confinement D0/dc = 2.24 ± 0.01 for the microgels with the Young’s modulus of 2.57 (
), 8.26 (
) and 12.54 kPa (
) (corresponding to agarose concentration in the microgel of 2, 3 and 4 wt%, respectively). The results are obtained for microgels with corresponding diameters D0 of 94, 101, and 100 μm, which were passing through the constriction with a diameter dc of 42, 45 and 45 μm, respectively, at α = 15°. (b) A master curve of the relative microgel position xf/dc, plotted as a function of ΔP/E0. The colors of symbols in (b) are the same as in (a). The black curve shows the result of numerical calculations with a fitting parameter κ = 0.365 (seeSupplementary Fig. S7e). Inset shows the data for positive xf on double-logarithmic scale. Red line with a slope 2.3 demonstrates agreement of data with scaling equations (2) and (6) for the constriction regime (xf > 0).