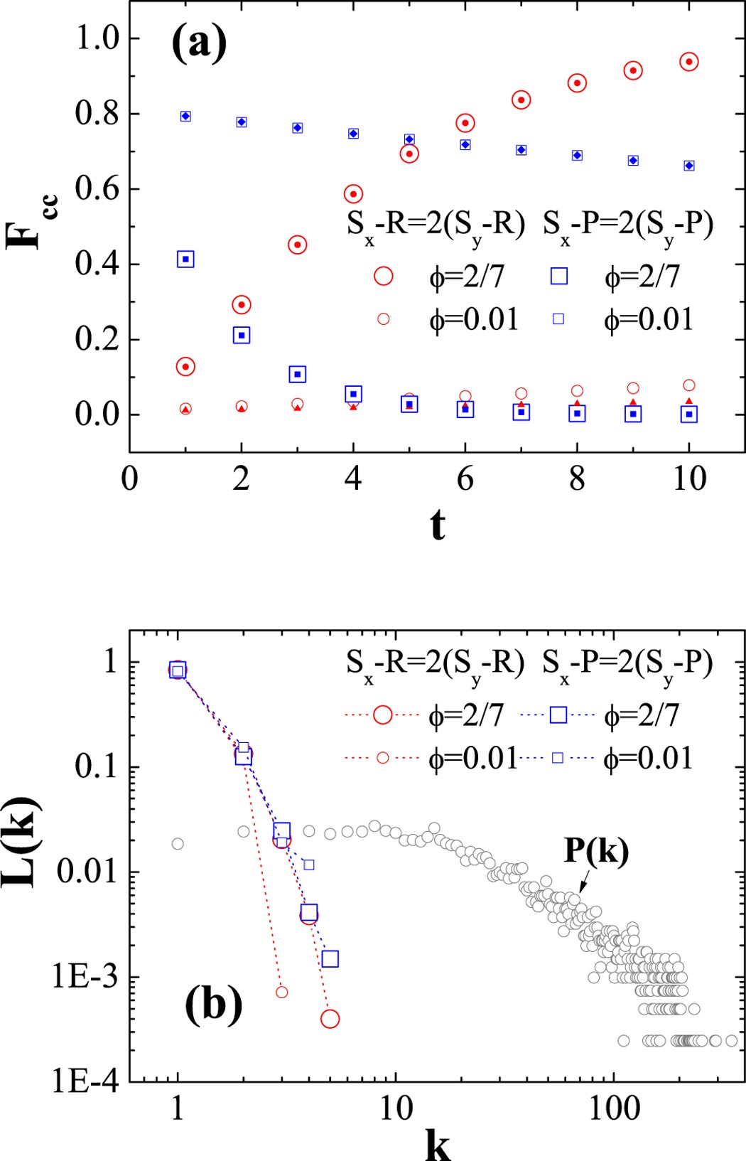
Figure 3

Average frequency of reciprocal pairs and UI distributions in the ‘Facebook’ network.
(a) shows the evolution processes of the average frequency of reciprocal pairs Fcc for both cases in the ‘Facebook’ network. (b) shows the simulation results of
for
and
in the ‘Facebook’ network. Solid circles and triangles (squares and diamonds) are the square of the analytical solutions of Eq. (12) (Eq. (13)) in Methods with
and 0.01, respectively.