Figure 2
From: Exotic vortex lattices in a rotating binary dipolar Bose-Einstein condensate

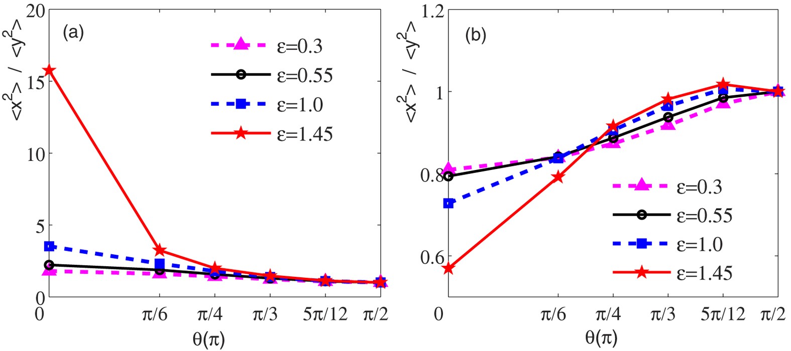
The profiles of the dimensionless parameter 〈x2〉/〈y2〉 for the density distributions illustrated inFig. 1.
(a) Dipolar component 1; (b) Non-dipolar component 2.