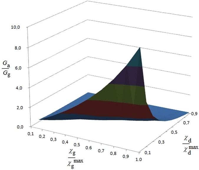
Figure 1

This figure represents, during mitosis, the ATP flow [mol s−1] for a tumor cell vs. the ATP flow [mol s−1] for a normal, non-cancerous cell as a function of the cell reproduction
and death rates
, weighted on their maximum values.
These last quantities are non-dimensional values representing the growth and apoptosis rate of cells within a range [0,1]. It can be seen that both, an increase in proliferation and a reduction in apoptosis trigger a maximum of ATP consumption by the tumorous cell.