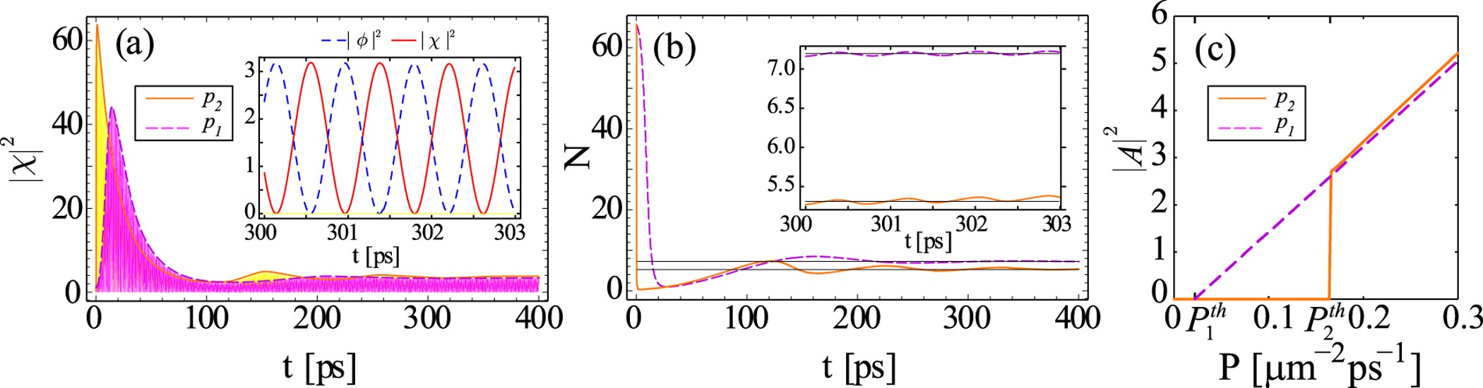
Figure 2
From: Permanent Rabi oscillations in coupled exciton-photon systems with PT -symmetry

(a,b)—the same as in Fig. 1 but for cw-pump
μm−2ps−1 (for both curves), which is above threshold
and (c)—the magnitude of Rabi oscillations
vs pumping rate P. Permanent Rabi oscillations for excitonic and photonic components, plotted on a zoomed time scale, are shown on the inset in (a). Relevant behavior of reservoir population is shown in the inset of (b).