Figure 5
From: Plasmon-assisted trapping of nanoparticles using a silver-nanowire-embedded PMMA nanofiber

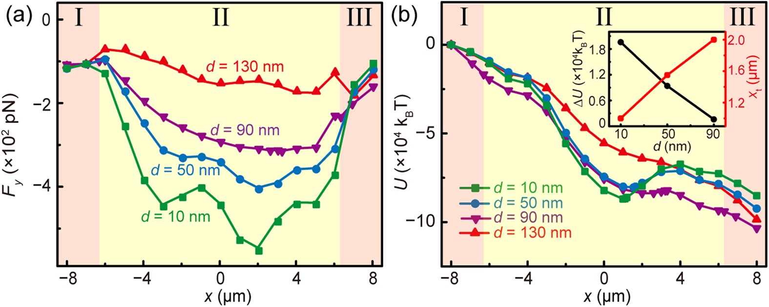
Calculated optical forces and optical potentials U for different d.
(a) Fy and (b) optical potential U as a function of x for different d. The inset of (b) shows the dependence of potential well depth ΔU and trapping position xt on d.