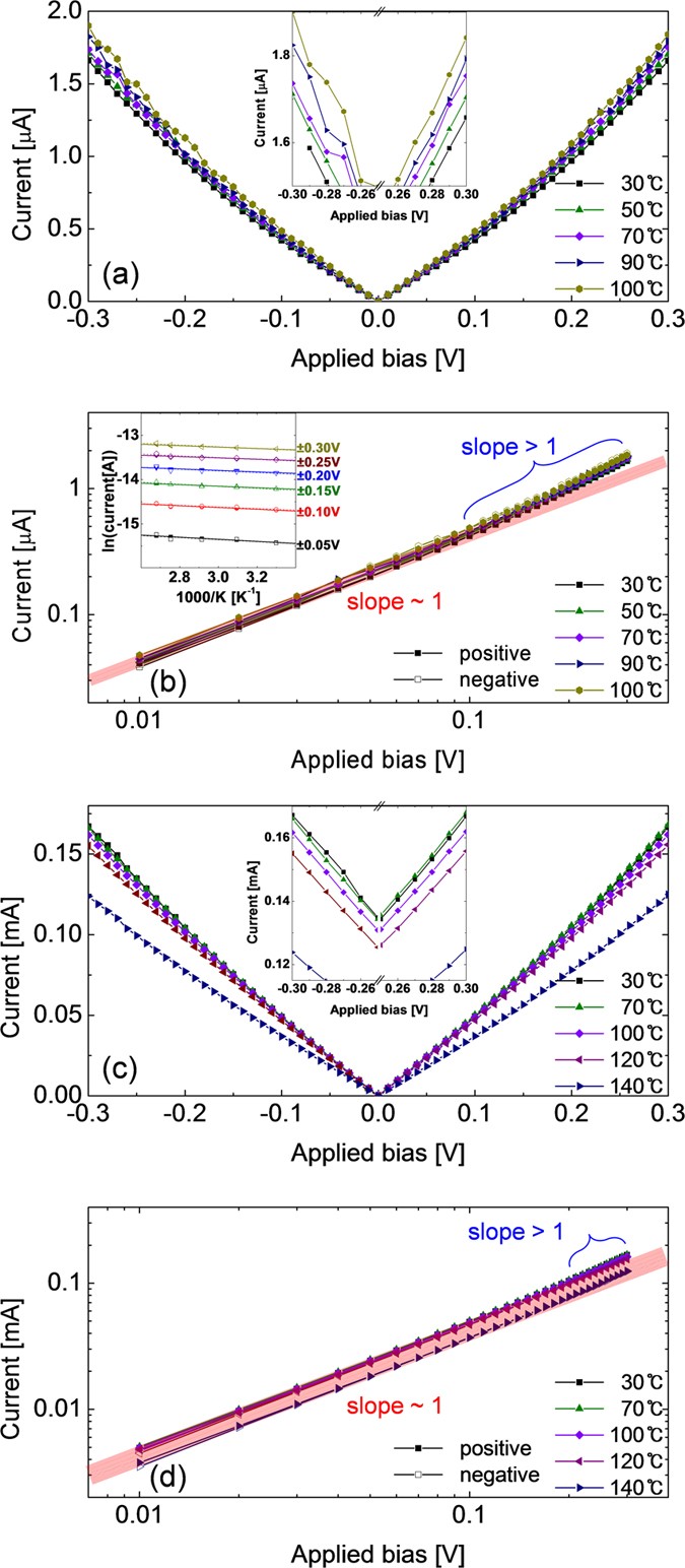
Figure 8

Current versus applied bias plots of STO films (a) after URS reset (also coincide with BRS reset) and (c) after BRS set. Log scale plots of the equivalent data (b) to URS reset and (d) to BRS set. Inset figures in (a,c) are the enlarged plots of (a,c) within ±0.3 V. Inset figure in (b) is the Arrhenius plot of current of STO films after URS reset. Numbers near the right axis indicate the voltages at which each current was estimated.