Figure 3
From: Functional transcription factor target discovery via compendia of binding and expression profiles

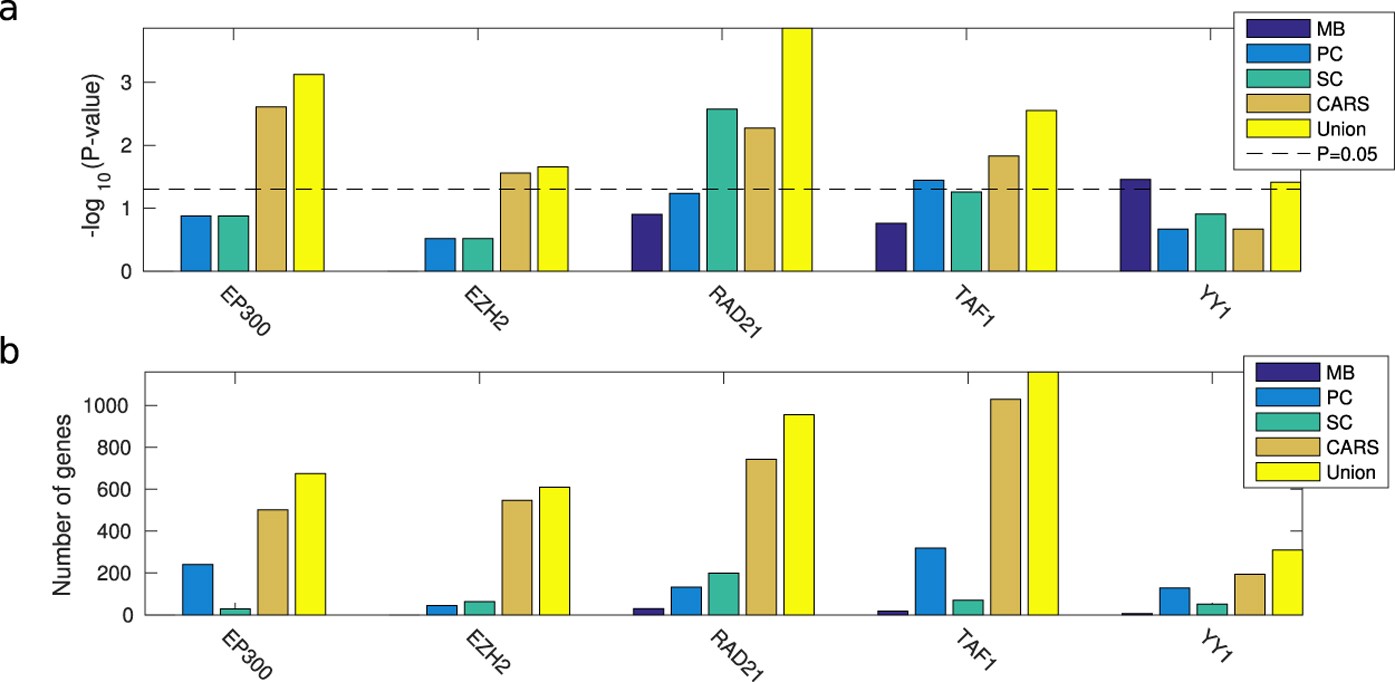
Functional target set enrichment significance (negative log hypergeometric P-value) (a) and size (b) for each method and TF at a predicted 1.5-fold precision over background. This is compared to using binding data from the knockdown cell type only (MB). Significance was determined by analysing the 8,872 gold standard reference genes, whereas sets sizes refer to subsets of the complete set of 24,392 genes with correlation score exceeding the 1.5-fold precision threshold derived from the gold standard.