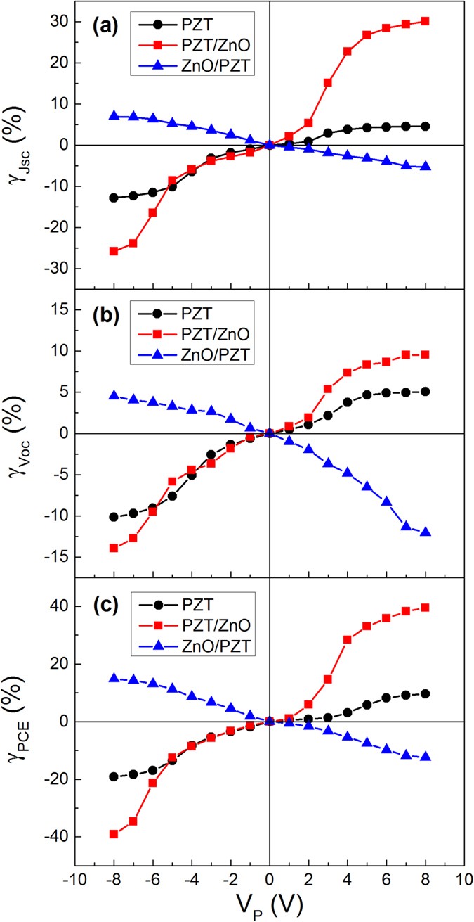
Figure 3

The polarization modulation ratio (γ) of (a) Jsc, (b) Voc and (c) PCE as a function of poling voltage (VP). Note that each point represents the value summarized from the corresponding photovoltaic J-Vout curves after the samples are poled at a given VP value.