Figure 3

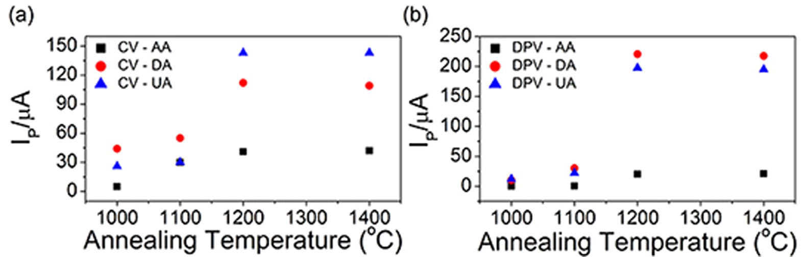
The peak current vs annealing temperature profiles of the OLC electrodes corresponding to the (a) CV profiles shown in Fig. S8a–c and (b) DPV profiles shown in the Fig. S9.

The peak current vs annealing temperature profiles of the OLC electrodes corresponding to the (a) CV profiles shown in Fig. S8a–c and (b) DPV profiles shown in the Fig. S9.