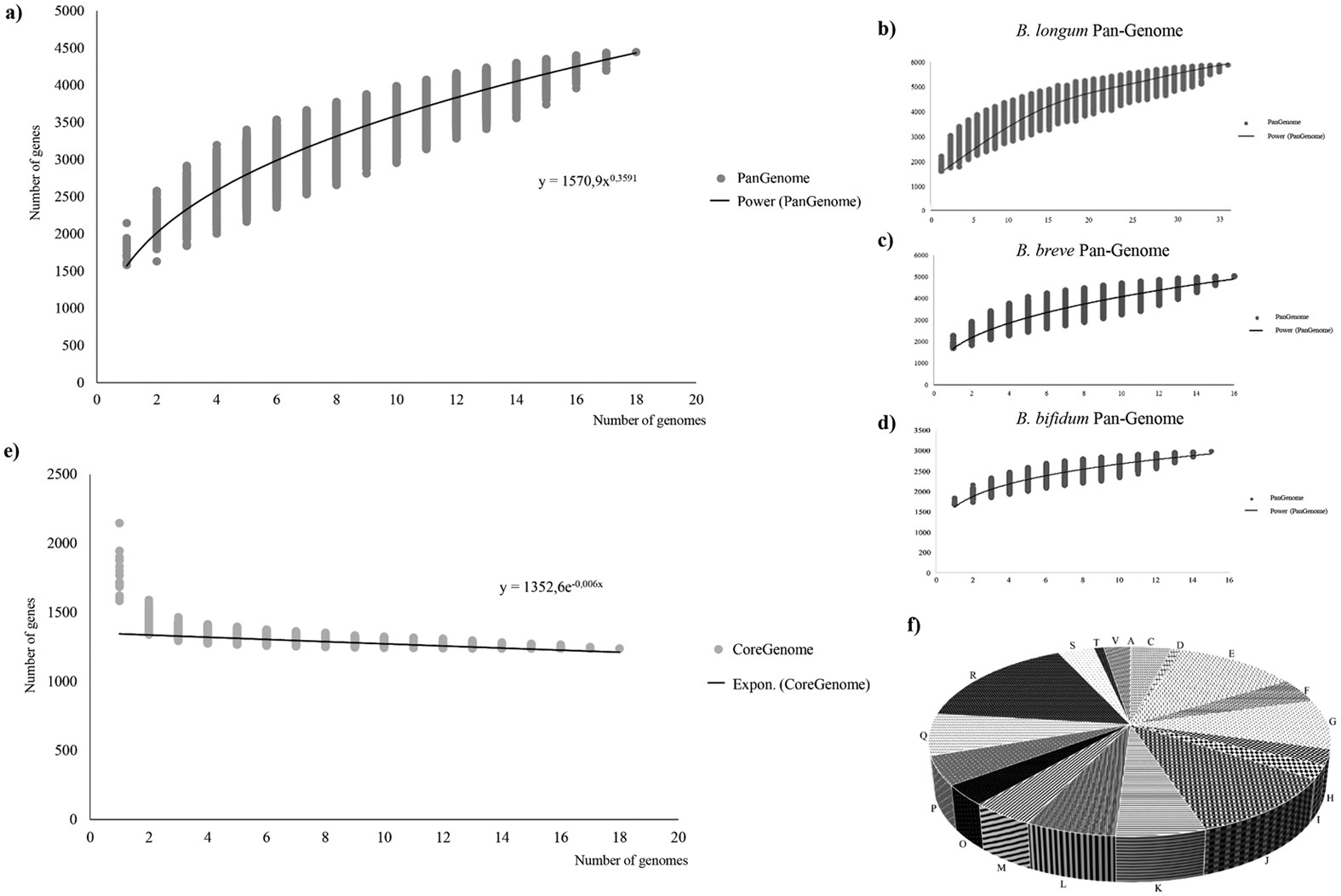
Figure 2: Pan-genome and core-genome of the B. adolescentis species.

The pan-genome of B. adolescentis species (panel a) as well as B. longum, B. breve and B. bifidum species (panel b–d) and core-genome of B. adolescentis species (panel e) are represented as variation of their gene pool sizes upon sequential addition of genomes analysed. Panel (f) shows functional assignment of the B. adolescentis core genome based on the eggNOG database. Each letter stands for the following function: J, Translation, ribosomal structure and biogenesis, A, RNA processing and modification, K, Transcription, L, Replication, recombination and repair, D, Cell cycle control, cell division, chromosome partitioning, V, Defense mechanism, T, Signal transduction mechanisms, M, Cell wall/membrane/envelope biogenesis, O, Posttranslational modification, protein turnover, chaperones, C, Energy production and conversion, G, Carbohydrate transport and metabolism, E, Amino acid transport and metabolism, F, Nucleotide transport and metabolism, H, Coenzyme transport and metabolism, I, Lipid transport and metabolism, P, Inorganic ion transport and metabolism, Q, Secondary metabolites biosynthesis, transport and catabolism, R, General function prediction only, S, Function unknown.