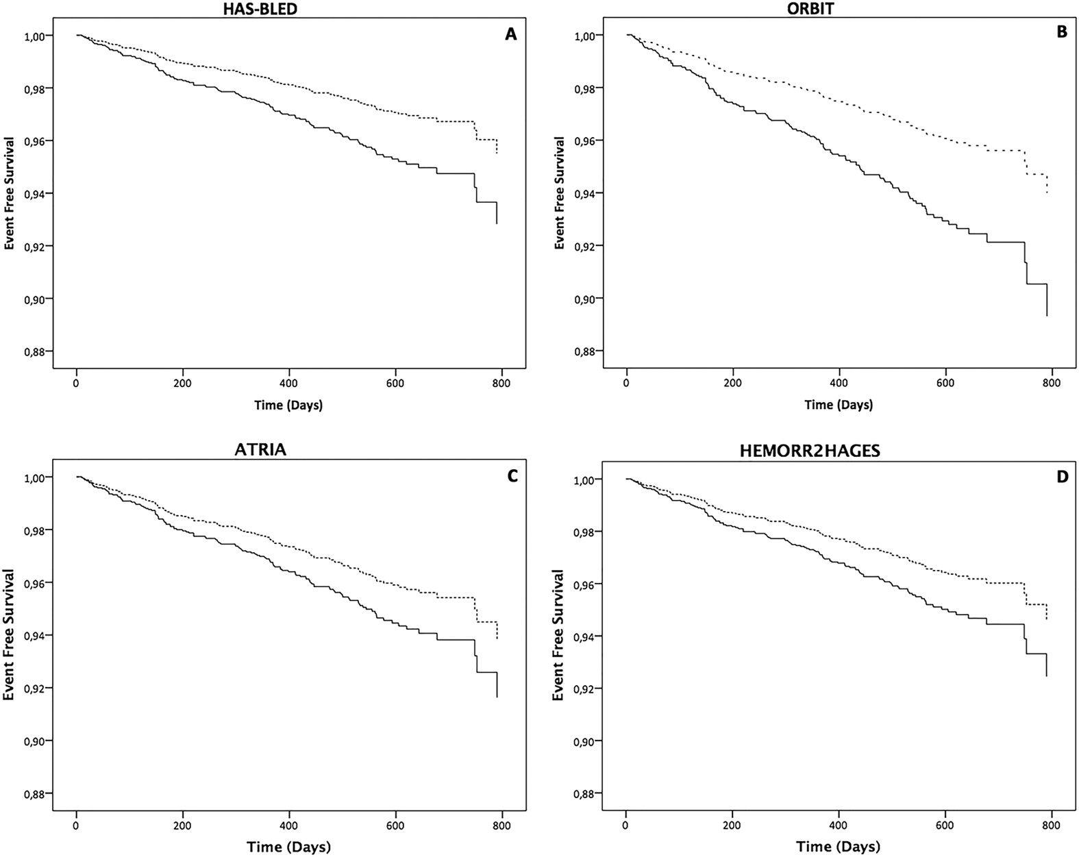
Figure 2

Event free survival for “adjudicated event” major bleeding according to risk categories for each bleeding risk score.
Panel (A) HAS-BLED Solid Line = High Risk; Dashed Line = Low Risk; Panel (B) ORBIT Solid Line = Medium/High Risk; Dashed Line = Low Risk; Panel (C) ATRIA Solid Line = Medium/High Risk; Dashed Line = Low Risk; Panel (D) HEMORR2HAGES Solid Line = Medium/High Risk; Dashed Line = Low Risk.