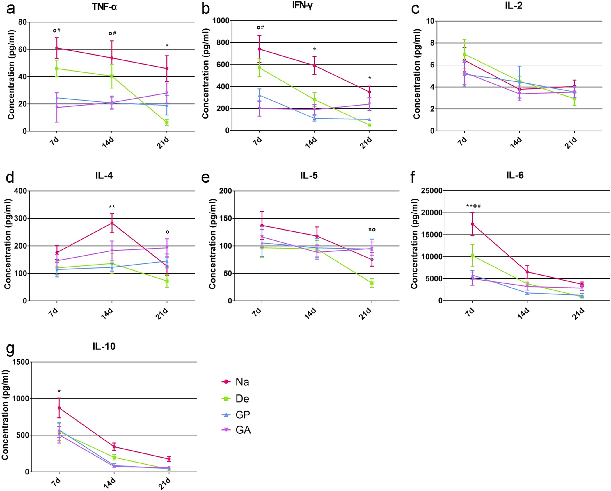
Figure 8

Th1/Th2 cytokine secretion profiles of material implants in vivo.
(a–g) Levels of TNF-α, IFN-γ, IL-2, IL-4, IL-5, IL-6 and IL-10 in abdominal wall implantsare shown to indicate the Th1/Th2 profile of each group. Na = native liver; De = decellularized; GP = genipin; GA = glutaraldehyde. *p < 0.05Na group with respect to the decellularized group; **p < 0.01 native group with respect to the decellularized group; #p < 0.05 genipin group with respect to the decellularized group; op < 0.05 glutaraldehyde group with respect to the decellularized group. All data are given as the mean ± SEM.