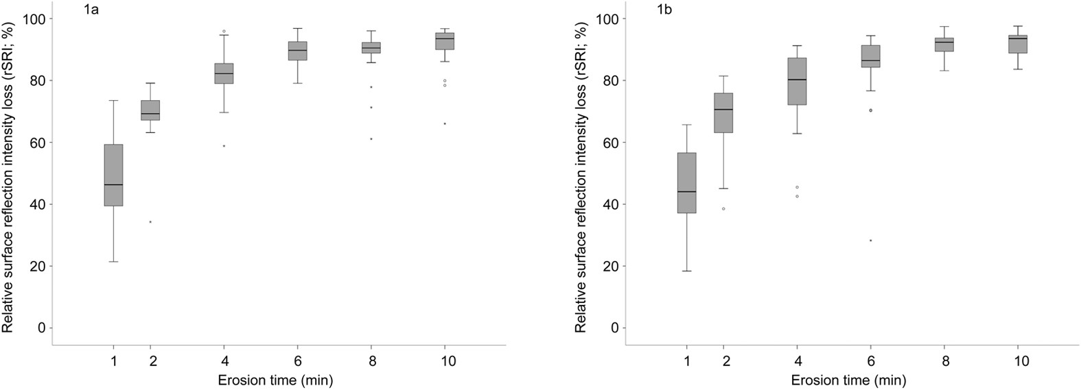
Figure 1

Relative surface reflection intensity loss (rSRI) from the Table-Top (1a) and Hand-Held (1b) devices after different erosion times.

Relative surface reflection intensity loss (rSRI) from the Table-Top (1a) and Hand-Held (1b) devices after different erosion times.