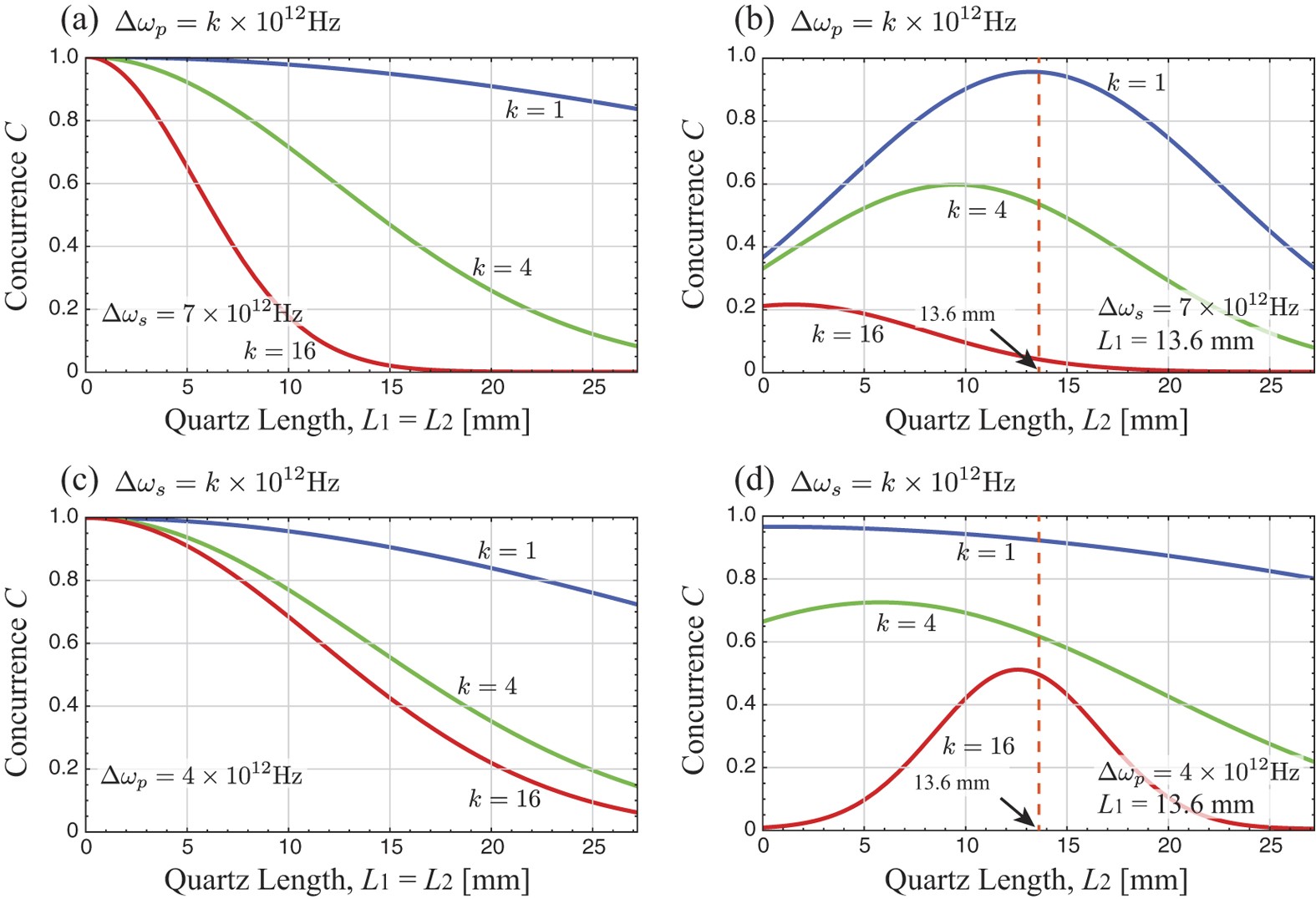
Figure 4: Theoretical simulation of the concurrence.

Concurrence for various conditions on the frequency bandwidths of the pump and the down-converted photons. Here the signal and the idler photons have the same frequency bandwidth Δωs. (a,b) describe the effect of pump photon’s bandwidth Δωp on the concurrence when Δωs = 7 × 1012 Hz. On the other hand, (c,d) show the concurrence dependency on Δωs with fixed Δωp = 4 × 1012 Hz. (a,c) correspond the case that the identical amounts of PMD are introduced on both optical paths, while (b,d) refer to the case that different amounts of PMD are introduced. Note that the vertical dotted lines in (b,d) correspond to the length of the quartz crystal (L1 = 13.6 mm) which the photon in the optical path 1 passes through.