Figure 2

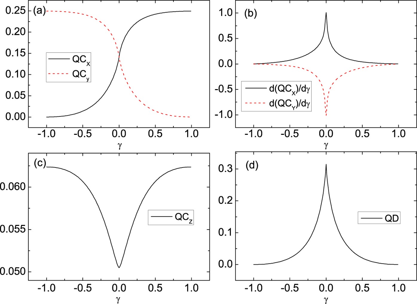
(a) σx and σy coherences, (b) their first derivatives with respect to γ, (c) σz coherence and (d) the QD as a function of γ at λ = α = 0 for N = 1001.

(a) σx and σy coherences, (b) their first derivatives with respect to γ, (c) σz coherence and (d) the QD as a function of γ at λ = α = 0 for N = 1001.