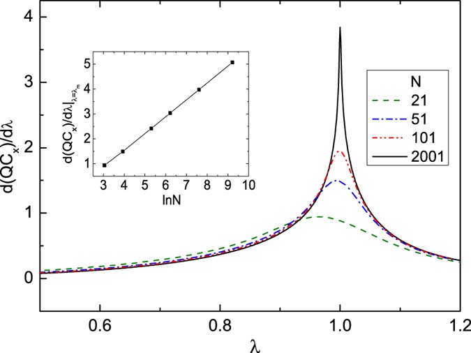
Figure 3

First derivative of the σx coherence d(QCx)/dλ under different system sizes N at γ = 0.5 and α = 0.0.
The inset shows the finite-size scaling behavior of the maximum in d(QCx)/dλ.

First derivative of the σx coherence d(QCx)/dλ under different system sizes N at γ = 0.5 and α = 0.0.
The inset shows the finite-size scaling behavior of the maximum in d(QCx)/dλ.