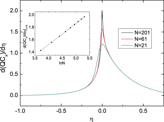
Figure 6

d(QCx)/dη as a function of η under different system sizes N.
The finite-size scaling behavior of d(QCx)/dη at the topological critical point η = 0 is shown as an inset.

d(QCx)/dη as a function of η under different system sizes N.
The finite-size scaling behavior of d(QCx)/dη at the topological critical point η = 0 is shown as an inset.