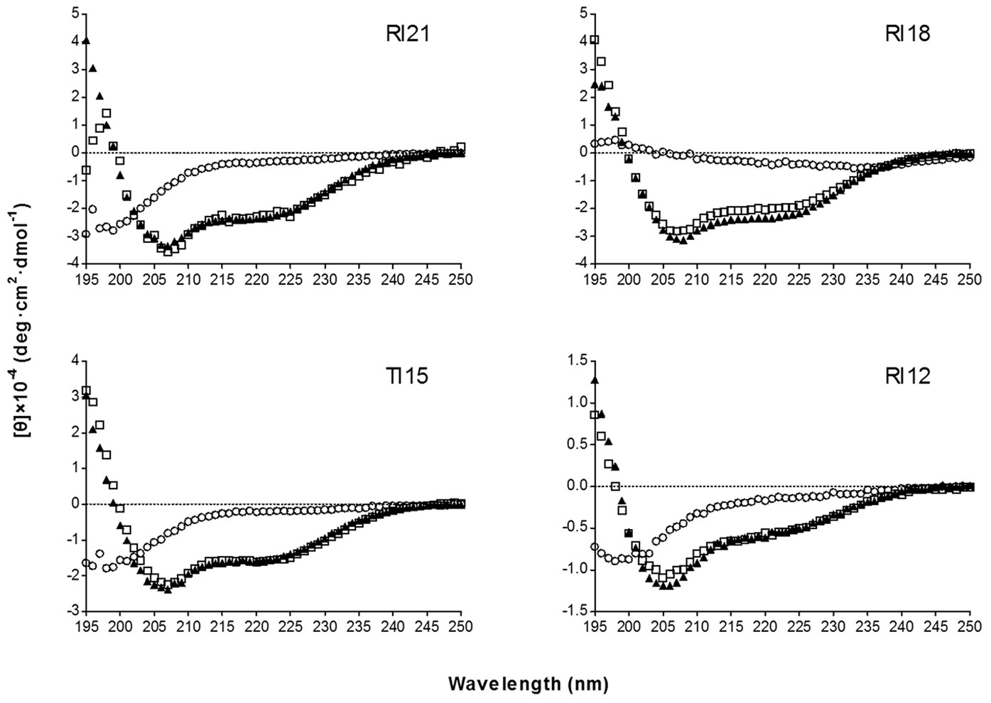
Figure 2: CD spectra of the peptides.

The peptides were dissolved in 10 mM sodium phosphate buffer (pH 7.4) (⚪, circles), 50% TFE (▲, triangles), or 30 mM SDS (◻, squares). The mean residue ellipticity was plotted against wavelength. The values from three scans were averaged per sample. The peptide concentrations were fixed at 150 μM.