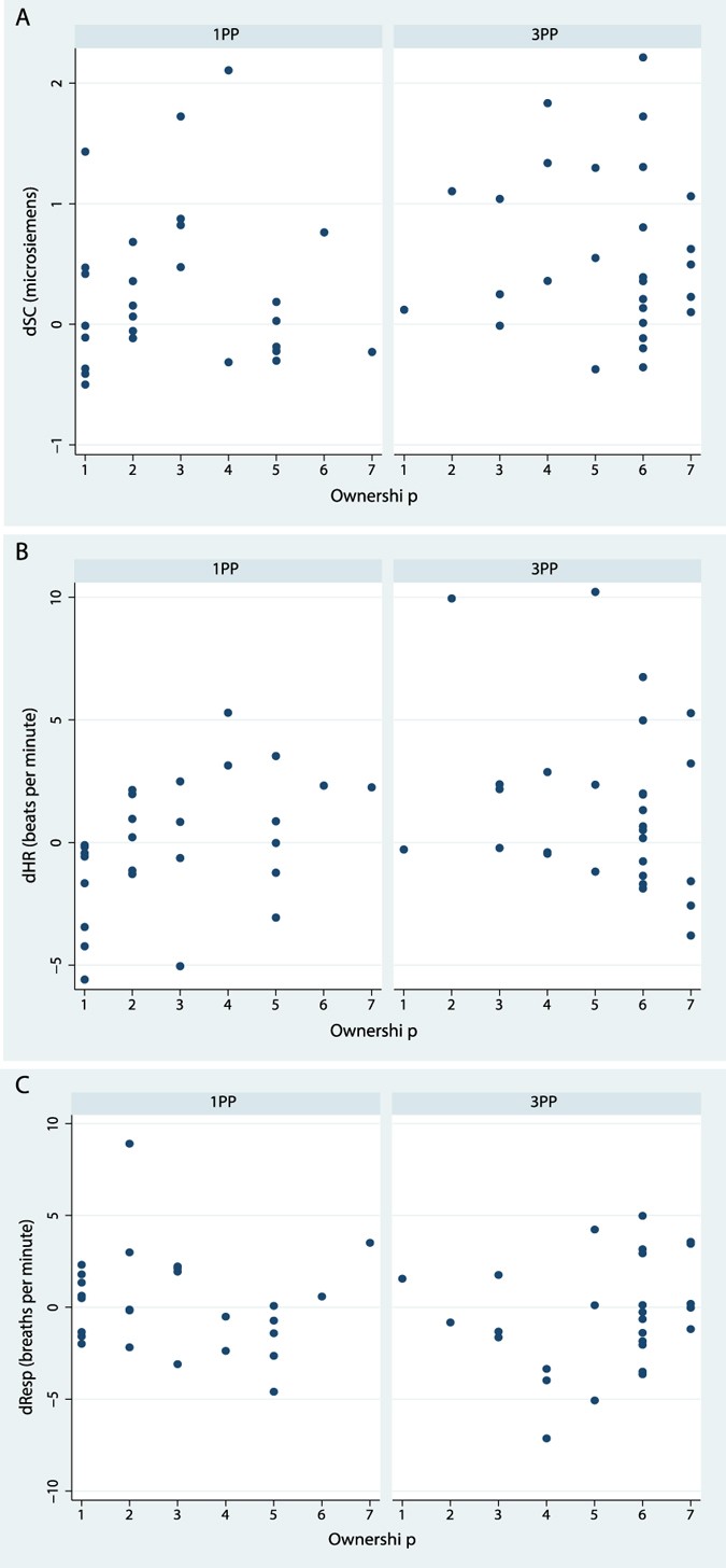
Figure 3: Scatter diagrams of change in physiological responses from baseline to hill climbing by Ownership.

(A) For skin conductance (dSC), (B) for heart rate (dHR) and (C) for respiration (dResp).

(A) For skin conductance (dSC), (B) for heart rate (dHR) and (C) for respiration (dResp).