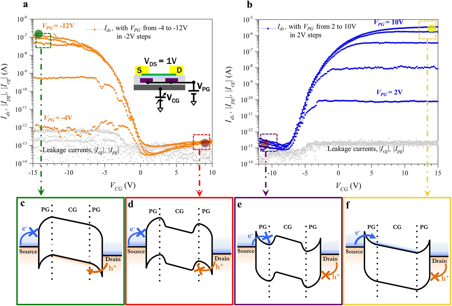
Figure 3

Device characteristics.
(a,b) Transfer characteristics of the device obtained for different negative (a) and positive (b) voltage values applied to the program gate as a function of the control gate bias. The inset in (a) shows the connection used for the measurements. The dashed squares represent the 4 region of operation (ON p-type, OFF p-type, OFF n-type, ON n-type) of the transistor for which the corresponding band-diagram is shown in (c–f). The transparent colored circles report the current values extracted from Fig. 2(b) and show how the current levels are not altered by the polarity-control mechanism. (c–f) Band-diagrams of the 4 region of operation.