Figure 2: Network activity, order parameter and susceptibility.
From: Griffiths phase and long-range correlations in a biologically motivated visual cortex model

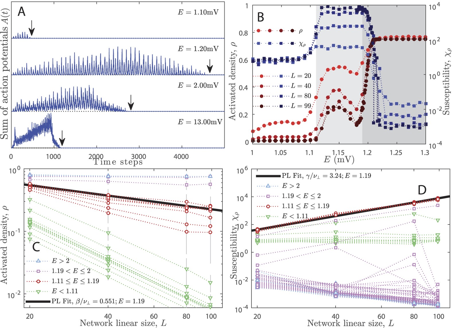
Panel A: Temporal profile of the avalanches for many EPSP. Arrows mark the processing time T of the network. For E = 1.1 mV, only very small avalanches occur; E = 1.2 mV shows many small avalanches; for E = 2.0 mV there is a dominating avalanche (compare to the dotted line that marks zero activity); and for E = 13.0 mV the dominating avalanche takes over all the dynamics. Panel B: Density of activated neurons ρ during total activity time and its associated susceptibility55 χρ = N(〈ρ2〉 − 〈ρ〉2)/〈ρ〉 as function of E for many L. Red circles (
,
,
,
) indicate ρ and blue squares (
,
,
,
) indicate χρ; the larger L the darker the color shade. White background indicate the inactive phase, light gray background indicates the critical (Griffiths) phase with diverging χρ and dark gray background indicates the percolating phase. Panels C,D: FSS of ρ order parameter26,28 yielding scaling exponent β/ν⊥ = 0.55(3) – Equation (4) – and FSS of χρ yielding scaling exponent γ/ν⊥ = 3.1(1) – Equation (5); fits performed on the transition point Ec = 1.19 mV; (
) inactive phase, (
) critical phase, (
) and (
) percolating phases. Vertical bars are standard deviation and dotted lines are only guides to the eyes.