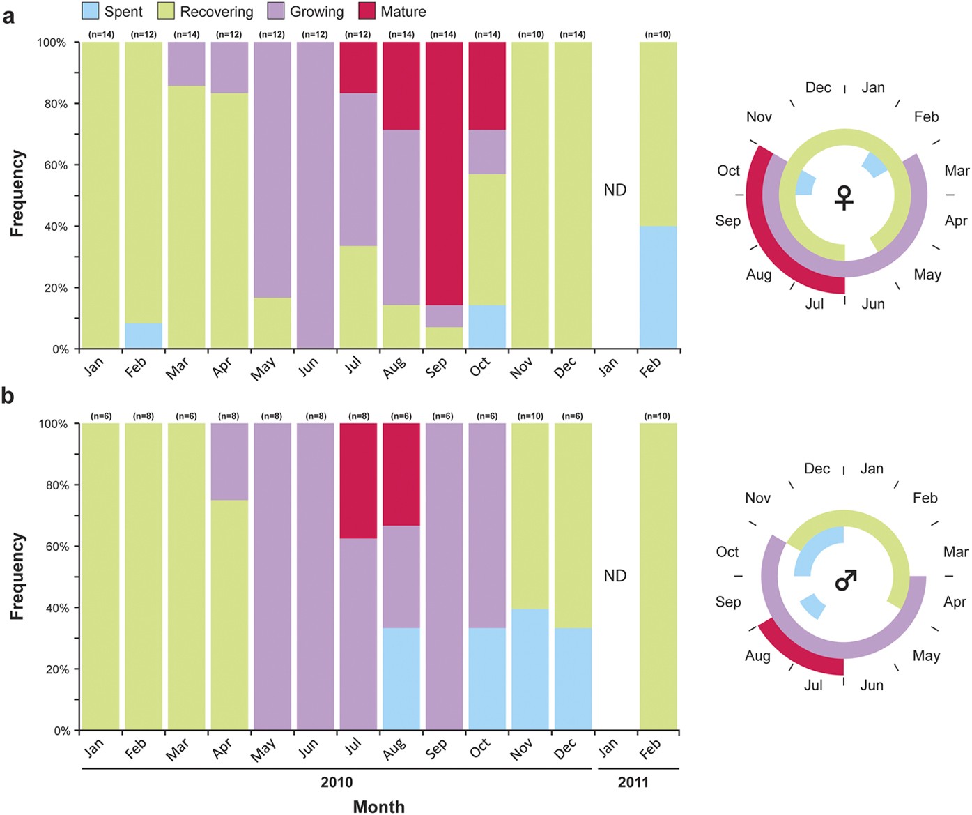
Figure 4

The annual gametogenetic cycle of Diadema setosum from Eilat (Gulf of Aqaba).
The relative frequencies (%) of gonad developmental stages in monthly samples of (a) females and (b) males as defined by histological cross-sections. Frequencies are based on histological analysis of 20 specimen per month studied from January 2010 to February 2011. Colours indicate reproductive stages IāIV (corresponding to stages: Spent, Recovering, Growing and Mature, respectively) as defined in the text (see Fig. 3 for detail). ND corresponds to no data for that sampling month. Radial schematic plots provide a graphical representation of the transition and overlap of the different reproductive stages based on a monthly annual cycle.