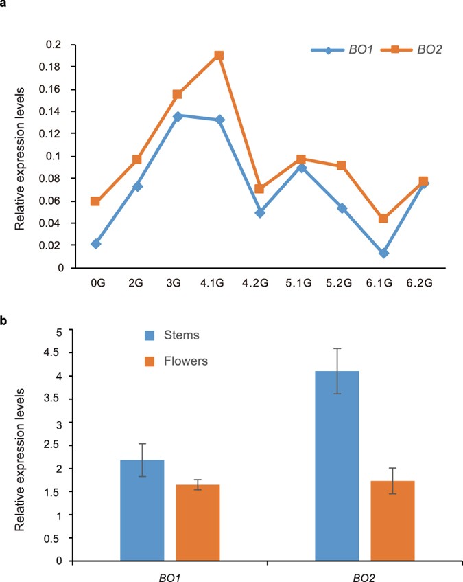
Figure 4

Expression levels of the two BO transposase genes in P. aegyptiaca.
(a) Expression levels at different developmental stages (PPGP) estimated from RNA-seq data with ACTIN as the reference gene. (b) Expression levels (±SE, n = 3) of the two BO genes in stems and flowers assessed by qRT-PCR.