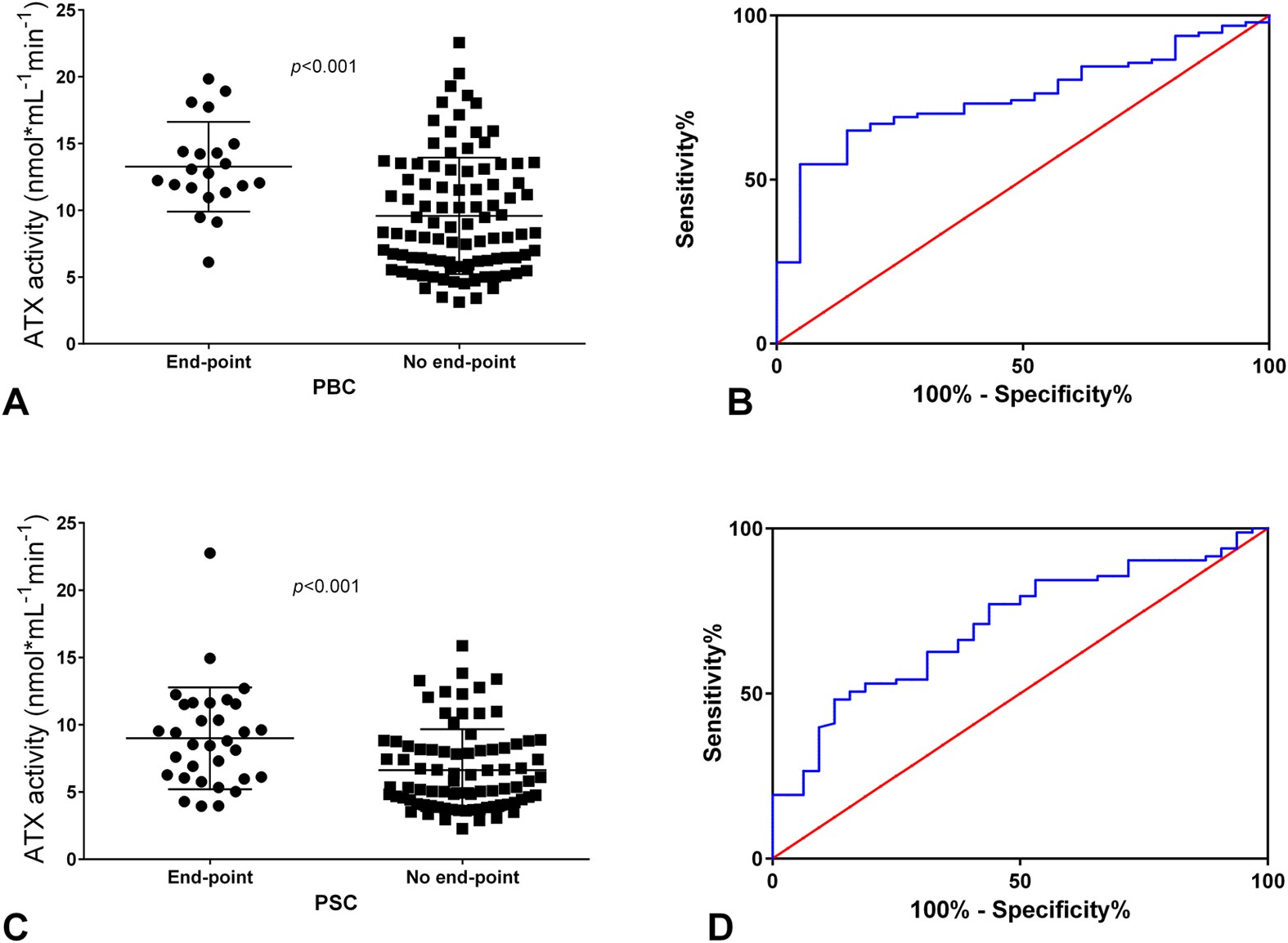
Figure 4

The relationship between survival and ATX activity.
A comparison of ATX activity between patients who reached an end-point during the follow-up (underwent liver transplantation or died) and patients who were alive at the end of the study in the (A) PBC and (C) PSC groups. Receiver operating characteristic (ROC) area under the curve (AUC) in patients with (B) PBC and (D) PSC.