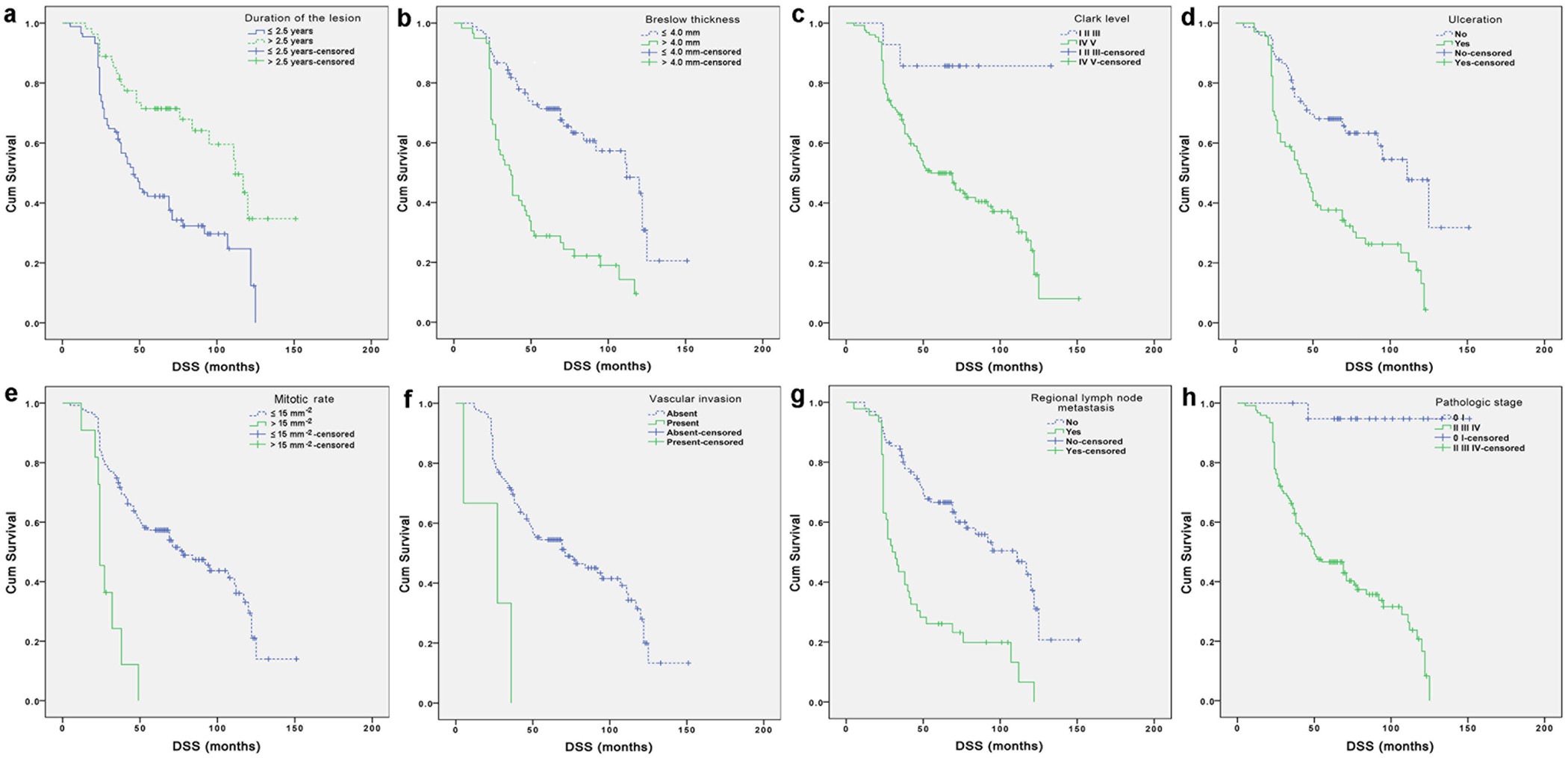
Figure 3
From: Acral Melanoma in Chinese: A Clinicopathological and Prognostic Study of 142 cases

Kaplan-Meier analyses of DSS for the entire group of patients according to different stratums by prognostic factors.
(a) Duration of the lesion. (b) Breslow thickness. (c) Clark level. (d) Ulceration status. (e) Mitotic rate. (f) Vascular invasion. (g) Regional lymph node status at diagnosis. (h) Pathologic stage.