Figure 4
From: Tracking objects outside the line of sight using 2D intensity images

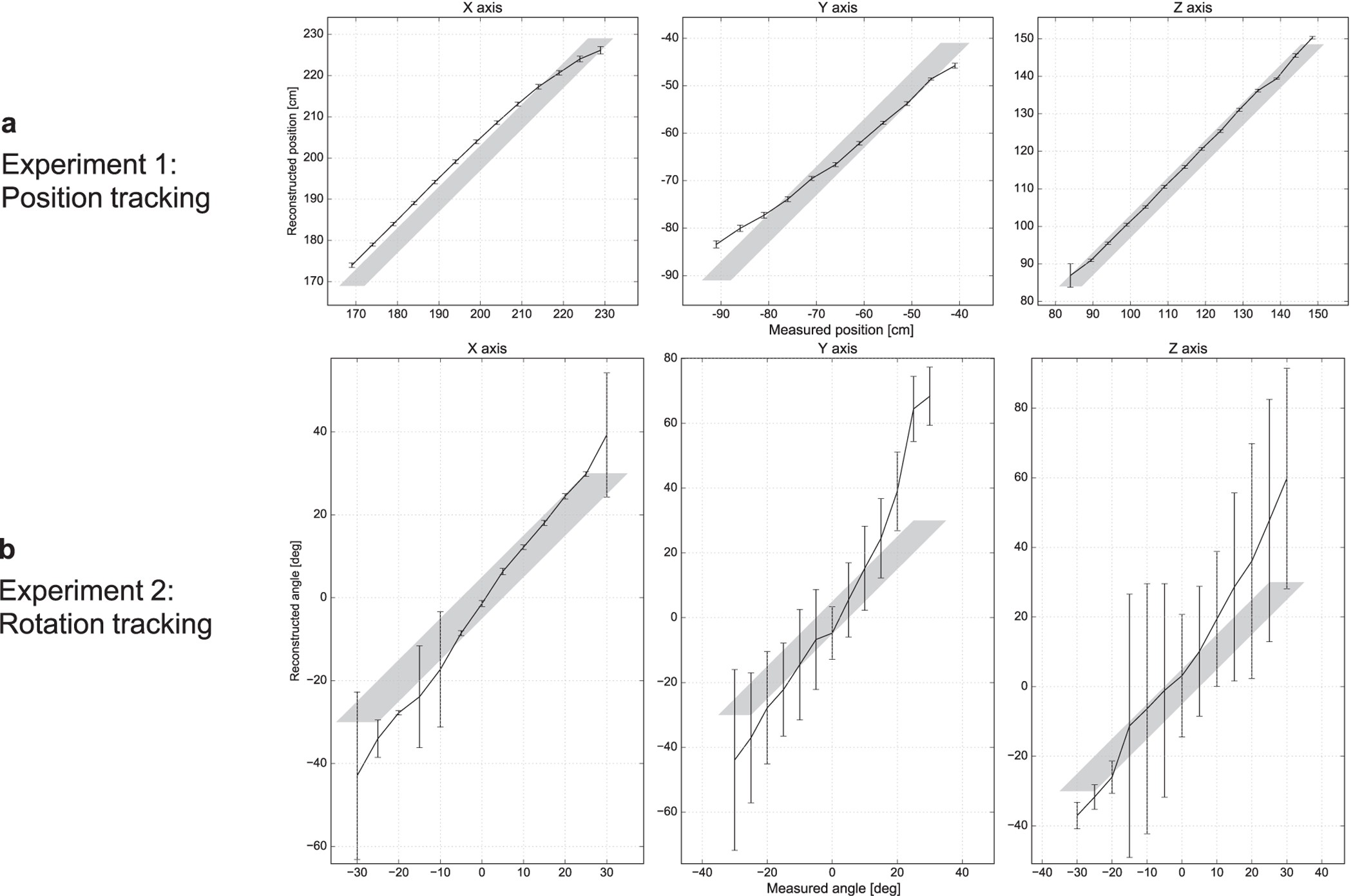
Tracking a known object.
(a) Result of three tracking sessions where the object was translated along the X, Y and Z axes (Experiment 1). We recorded 100 input images at each position and reconstructed the object position for each input image independently. Plots and error bars visualize the mean and standard deviation of the recovered positions. The area shaded in gray is the confidence range for the true position which was determined using a tape measure. (b) Result of three tracking sessions where the object was rotated around the X, Y and Z axes (Experiment 2). From 100 input images, we jointly reconstructed translation and rotation. Shown are mean and standard deviation of the recovered rotation angle. The higher uncertainty reflects the fact that rotation in general has a smaller effect on the signal and the ambiguity between translational and rotational motion (also see Fig. 2).