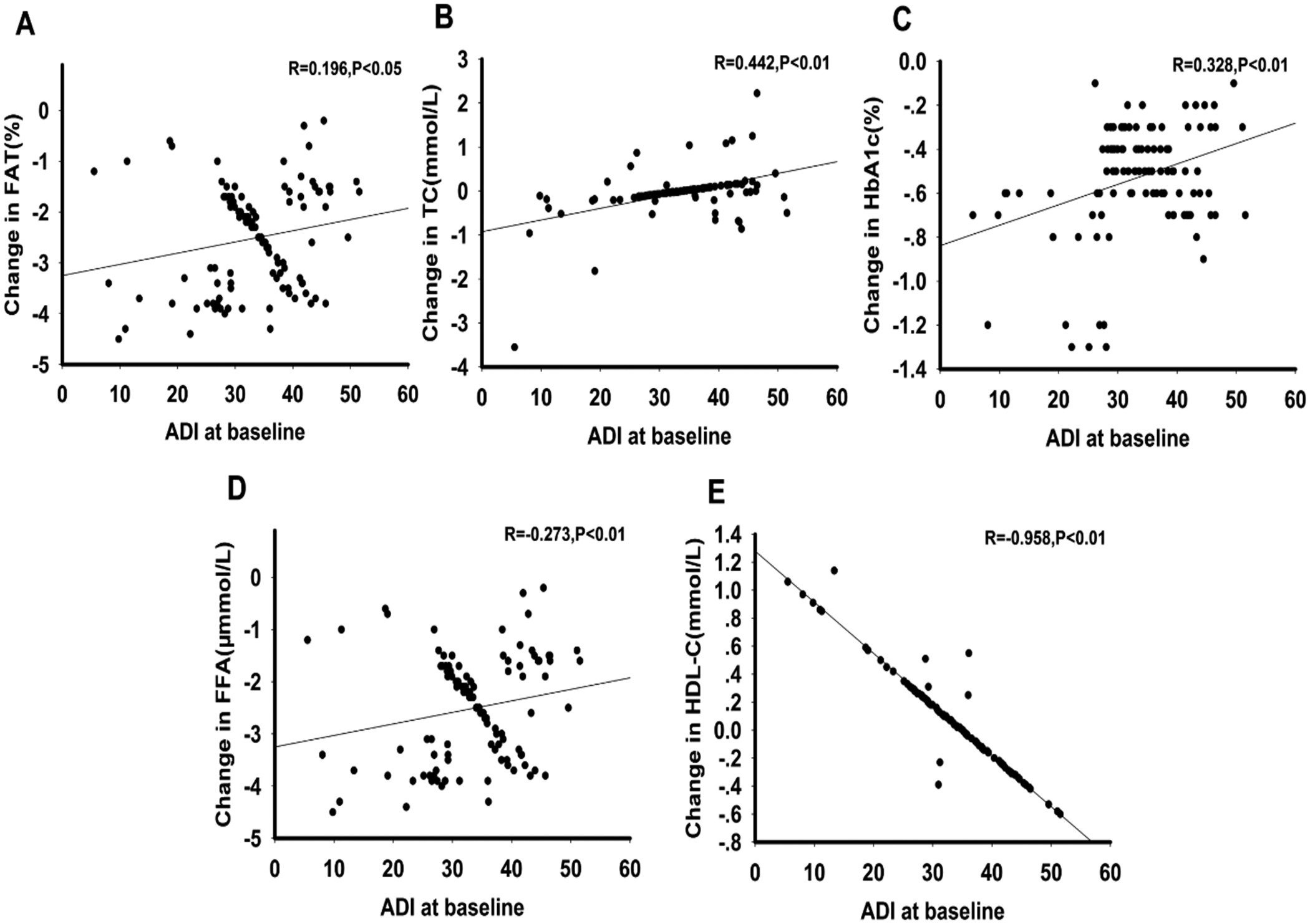
Figure 3

A correlation between ADI levels at baseline and change in FAT% (A), TC (B), HbA1c (C), FFA (D) and HDL-C (E) after the 3-month DAPA treatment. A statistical analysis was performed by the Pearson’s correlation test. R, correlation coefficient; ADI, adiponectin.